🇳🇴 🇬🇧 🇩🇪 🇨🇿 🇫🇮

Meteor, poloha: Hokksund 2016-12-14 05:47:35 UTC

Soubor KML  |  InteraktivnĂ­ mapa

Mapa zobrazuje dráhy meteoru. Světlejší čáry ukazují směry od pozorovacích stanic při objevení se meteoru a tmavší čáry, kde byl naposledy viděn. Modrá šipka značí viditelnou dráhu meteoru.

static map
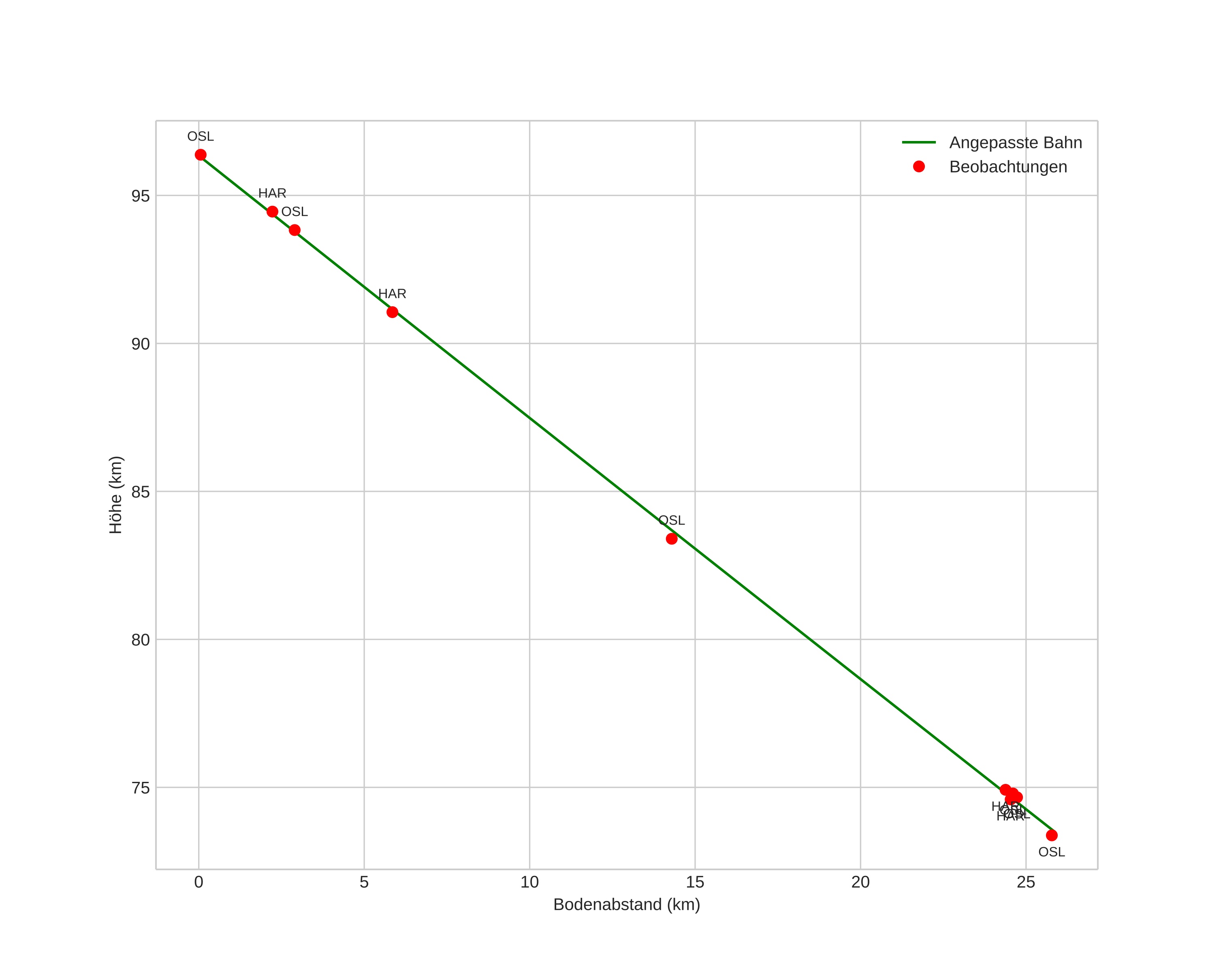
height profile
Atmosférická dráha meteoru:
Počáteční výška: 96,3 km
Konečná výška: 73,5 km
Počáteční poloha: 59,799N 9,289E
Konečná poloha: 59,808N 9,751E
Směr: 87,7°
Sklon: 41,4°
VstupnĂ­ rychlost: 35,0 km/s
Rektascenze radiantu: 07:34 (113,7°)
Deklinace radiantu: 32,5°
MeteorickĂ˝ roj: Geminidy
Elementy dráhy meteoroidu:
Vzdálenost v periheliu: 0,152 AU
Excentricita: 0,882
Sklon dráhy: 22,5°
Délka vzestupného uzlu: 262,4°
Argument perihelia: 323,5°
Střední anomálie: 334,3°
Epocha: 2016 DEC 14 05:47:35
orbit plot

NeinteraktivnĂ­ graf | InteraktivnĂ­ graf

position vs time
speed and acceleration