🇳🇴 🇬🇧 🇩🇪 🇨🇿 🇫🇮

Meteor, poloha: Jevnaker 2016-12-14 06:15:40 UTC

Soubor KML  |  InteraktivnĂ­ mapa

Mapa zobrazuje dráhy meteoru. Světlejší čáry ukazují směry od pozorovacích stanic při objevení se meteoru a tmavší čáry, kde byl naposledy viděn. Modrá šipka značí viditelnou dráhu meteoru.

static map
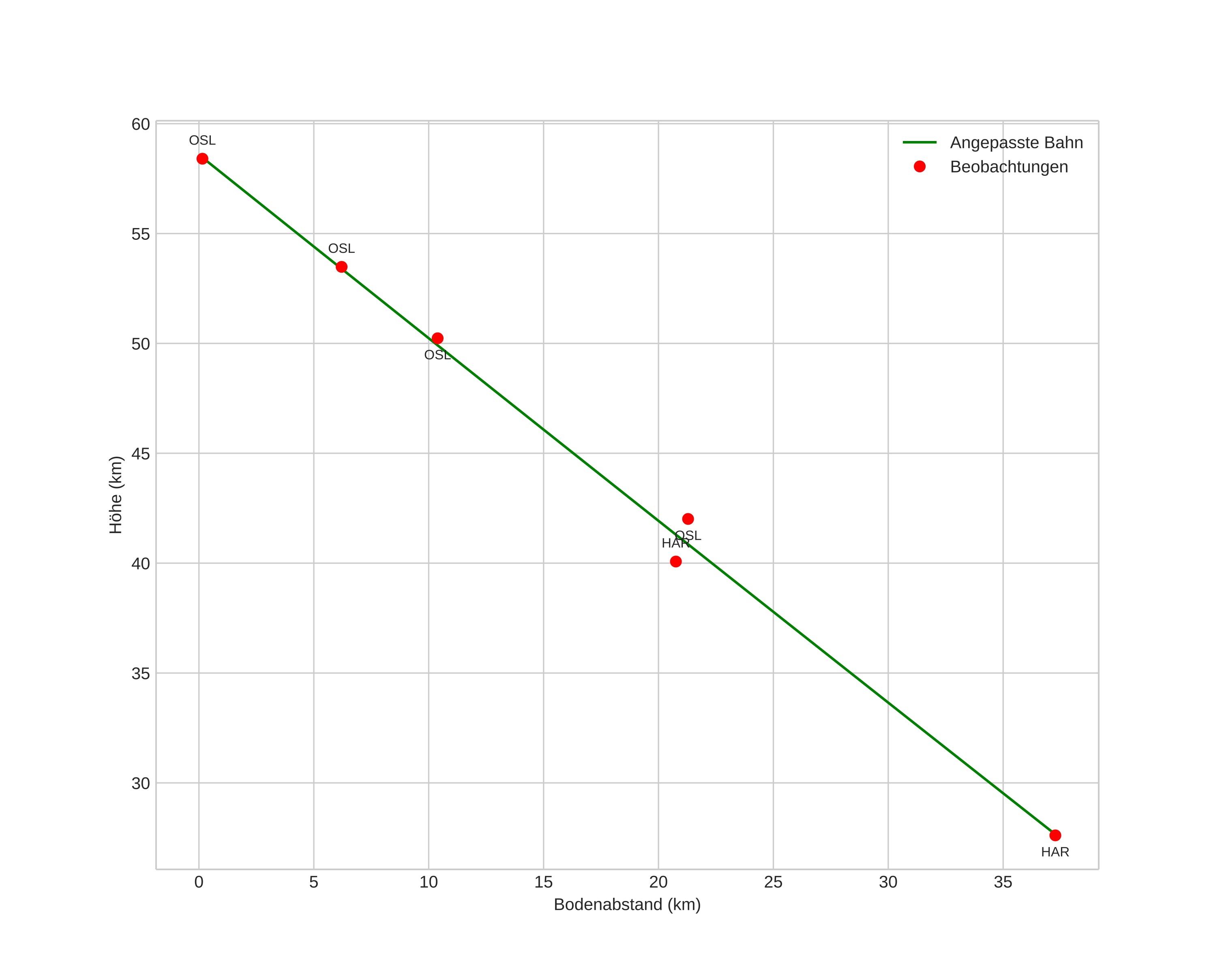
height profile
Atmosférická dráha meteoru:
Počáteční výška: 58,6 km
Konečná výška: 27,6 km
Počáteční poloha: 60,359N 9,588E
Konečná poloha: 60,357N 10,266E
Směr: 90,0°
Sklon: 39,7°
VstupnĂ­ rychlost: 25,5 km/s
Rektascenze radiantu: 07:47 (116,8°)
Deklinace radiantu: 31,2°
MeteorickĂ˝ roj: sporadickĂ˝
Elementy dráhy meteoroidu:
Vzdálenost v periheliu: 0,229 AU
Excentricita: 0,730
Sklon dráhy: 12,0°
Délka vzestupného uzlu: 262,4°
Argument perihelia: 325,0°
Střední anomálie: 298,0°
Epocha: 2016 DEC 14 06:15:40
orbit plot

NeinteraktivnĂ­ graf | InteraktivnĂ­ graf

position vs time
speed and acceleration