🇳🇴 🇬🇧 🇩🇪 🇨🇿 🇫🇮

Meteor, poloha: Setermoen 2018-12-11 05:51:18 UTC

Soubor KML  |  InteraktivnĂ­ mapa

Mapa zobrazuje dráhy meteoru. Světlejší čáry ukazují směry od pozorovacích stanic při objevení se meteoru a tmavší čáry, kde byl naposledy viděn. Modrá šipka značí viditelnou dráhu meteoru.

static map
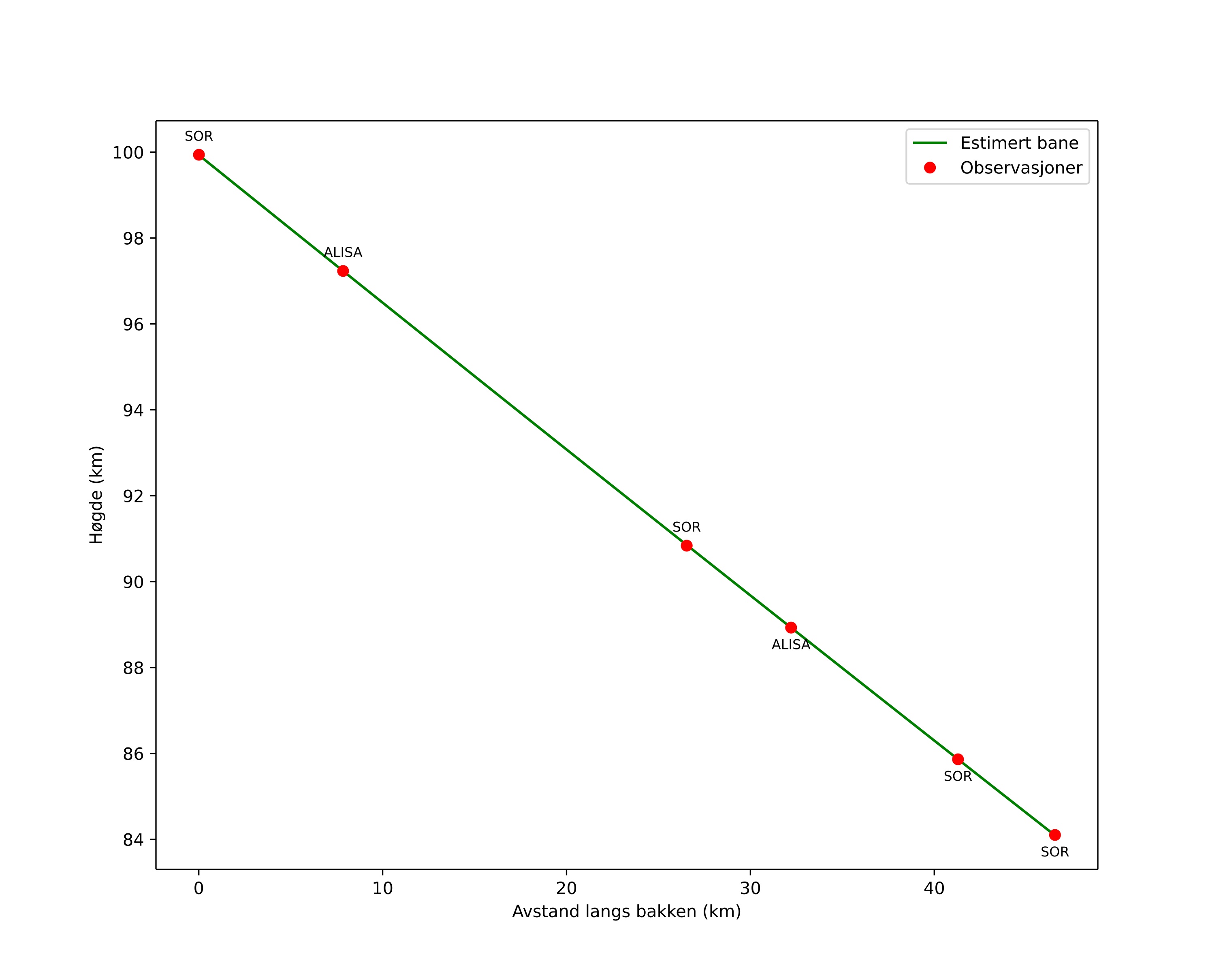
height profile
Atmosférická dráha meteoru:
Počáteční výška: 99,9 km
Konečná výška: 84,0 km
Počáteční poloha: 68,499N 17,771E
Konečná poloha: 68,399N 18,877E
Směr: 103,3°
Sklon: 18,9°
VstupnĂ­ rychlost: 29,9 km/s
Rektascenze radiantu: 05:54 (88,7°)
Deklinace radiantu: 19,5°
MeteorickĂ˝ roj: sporadickĂ˝
Elementy dráhy meteoroidu:
Vzdálenost v periheliu: 0,388 AU
Excentricita: 0,832
Sklon dráhy: 4,3°
Délka vzestupného uzlu: 78,9°
Argument perihelia: 109,5°
Střední anomálie: 348,1°
Epocha: 2018 DEC 11 05:51:18
orbit plot

NeinteraktivnĂ­ graf | InteraktivnĂ­ graf

position vs time
speed and acceleration