🇳🇴 🇬🇧 🇩🇪 🇨🇿 🇫🇮

Meteor, poloha: Ă…mot 2024-11-18 00:57:40 UTC

Soubor KML  |  InteraktivnĂ­ mapa

Mapa zobrazuje dráhy meteoru. Světlejší čáry ukazují směry od pozorovacích stanic při objevení se meteoru a tmavší čáry, kde byl naposledy viděn. Modrá šipka značí viditelnou dráhu meteoru.

static map
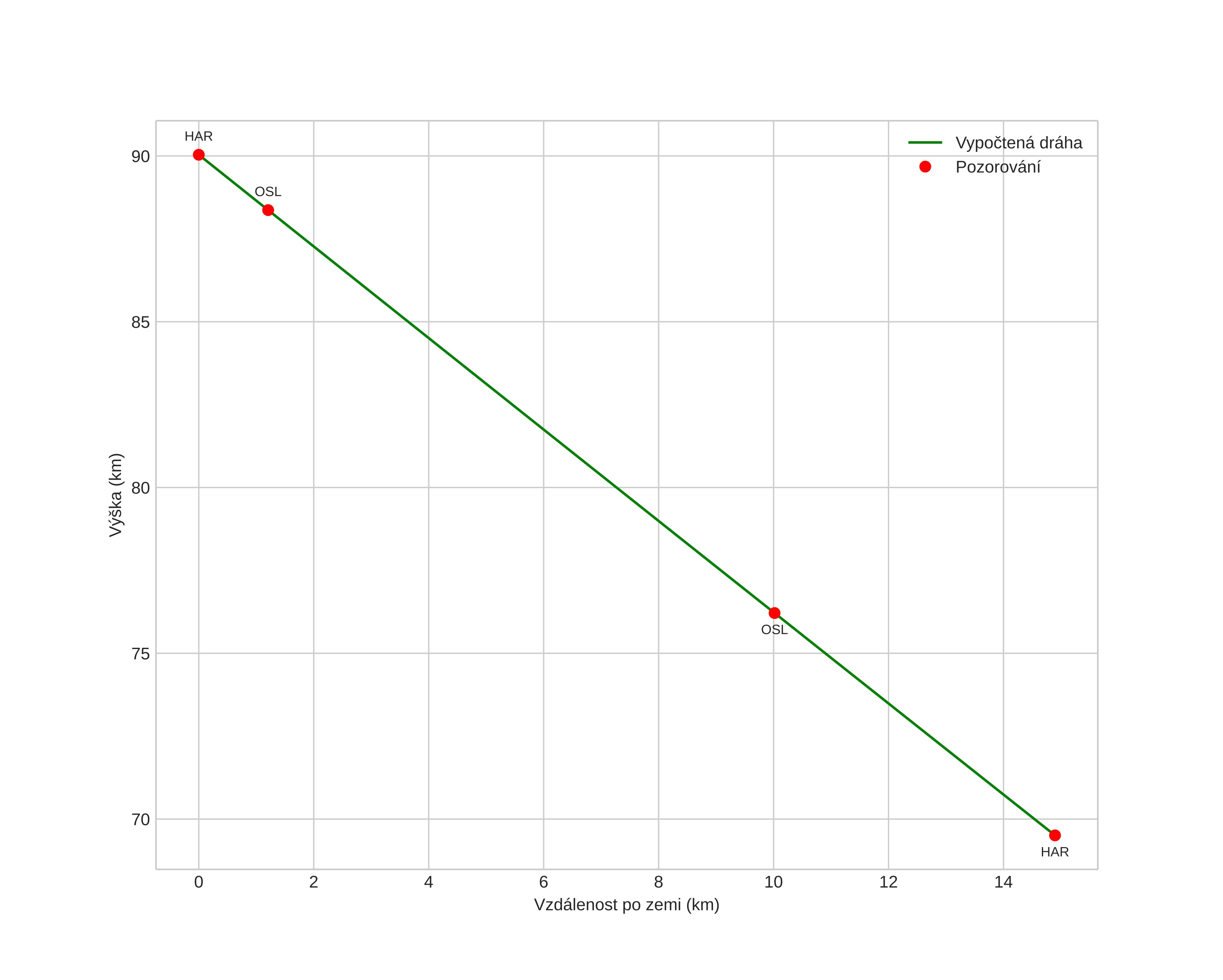
height profile
Atmosférická dráha meteoru:
Počáteční výška: 90,0 km
Konečná výška: 69,5 km
Počáteční poloha: 59,635N 7,944E
Konečná poloha: 59,755N 8,063E
Směr: 26,5°
Sklon: 54,0°
VstupnĂ­ rychlost: 31,8 km/s
Rektascenze radiantu: 04:07 (61,8°)
Deklinace radiantu: 24,2°
MeteorickĂ˝ roj: SevernĂ­ Tauridy
Elementy dráhy meteoroidu:
Vzdálenost v periheliu: 0,385 AU
Excentricita: 0,894
Sklon dráhy: 3,8°
Délka vzestupného uzlu: 235,8°
Argument perihelia: 287,1°
Střední anomálie: 354,2°
Epocha: 2024 NOV 18 00:57:40
orbit plot

NeinteraktivnĂ­ graf | InteraktivnĂ­ graf

position vs time
speed and acceleration