🇳🇴 🇬🇧 🇩🇪 🇨🇿 🇫🇮

Meteor over Åmål 2025-08-20 01:33:16 UTC

KML-fil  |  Interaktivt kart

Kartet viser peilingene for meteoren. De lysere linjene viser retningene fra observasjonsstedene for meteorens tilsynekomst, og de mørkere linjene viser hvor den sist kunne sees. Den blå pila viser meteorens synlige ferd.

static map
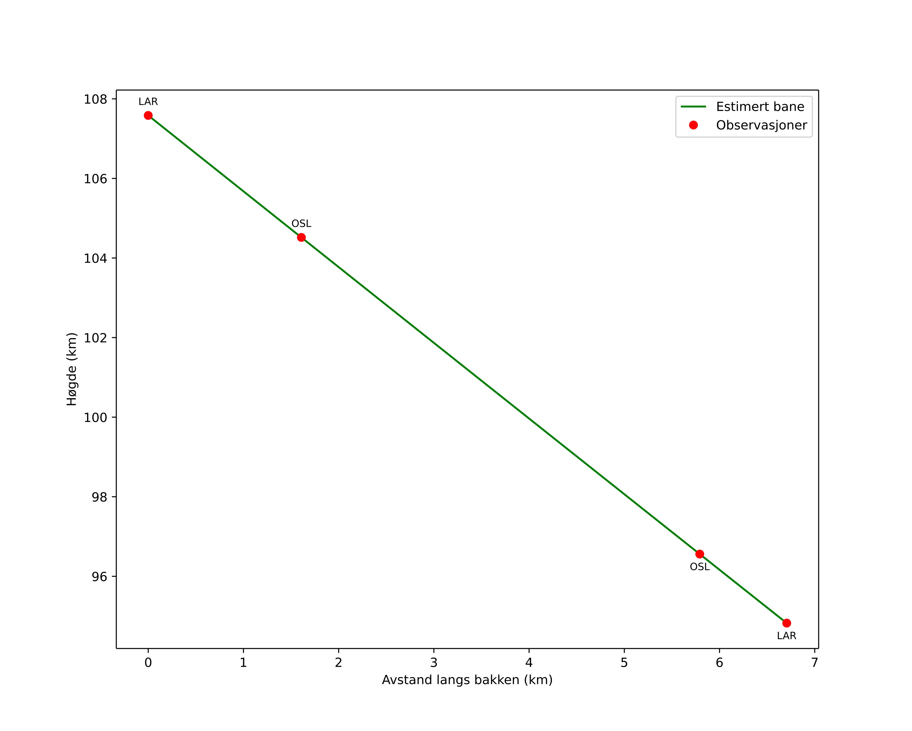
height profile
Meteorens atmosfæriske bane:
Starthøgde: 107,1 km
Slutthøgde: 95,3 km
Startposisjon: 59,135N 12,575E
Sluttposisjon: 59,133N 12,468E
Retning: 268,0°
Fallvinkel: 62,6°
Inngangshastighet: 72,0 km/s
Radiantens rektascensjon: 03:20 (50,0°)
Radiantens deklinasjon: 50,2°
Meteorsverm: sporadisk
Meteoroidens baneelement:
Perihelavstand: 1,005 AU
Eksentrisitet: 1,642
Inklinasjon: 131,0°
Knutelengde: 147,0°
Perihelargument: 171,5°
Midlere anomali: 2,7°
Epoke: 2025 AUG 20 01:33:16
orbit plot

Ikke-interaktivt plott | Interaktivt plott

position vs time
speed and acceleration

Larvik (LAR) cam2


gnomonic
Videoer
• Gnomonisk
• Gnomonisk med koordinater
• Original
• Original med koordinater
Bilder
• Gnomonisk
• Gnomonisk med koordinater
• Original
• Original med koordinater
Tekstfiler
• Deteksjon
• Observasjon
• Koordinater
• Logg
Lysstyrke

Voksenlia (OSL) cam4


gnomonic
Videoer
• Gnomonisk
• Gnomonisk med koordinater
• Original
• Original med koordinater
Bilder
• Gnomonisk
• Gnomonisk med koordinater
• Original
• Original med koordinater
Tekstfiler
• Deteksjon
• Observasjon
• Koordinater
• Logg
Lysstyrke