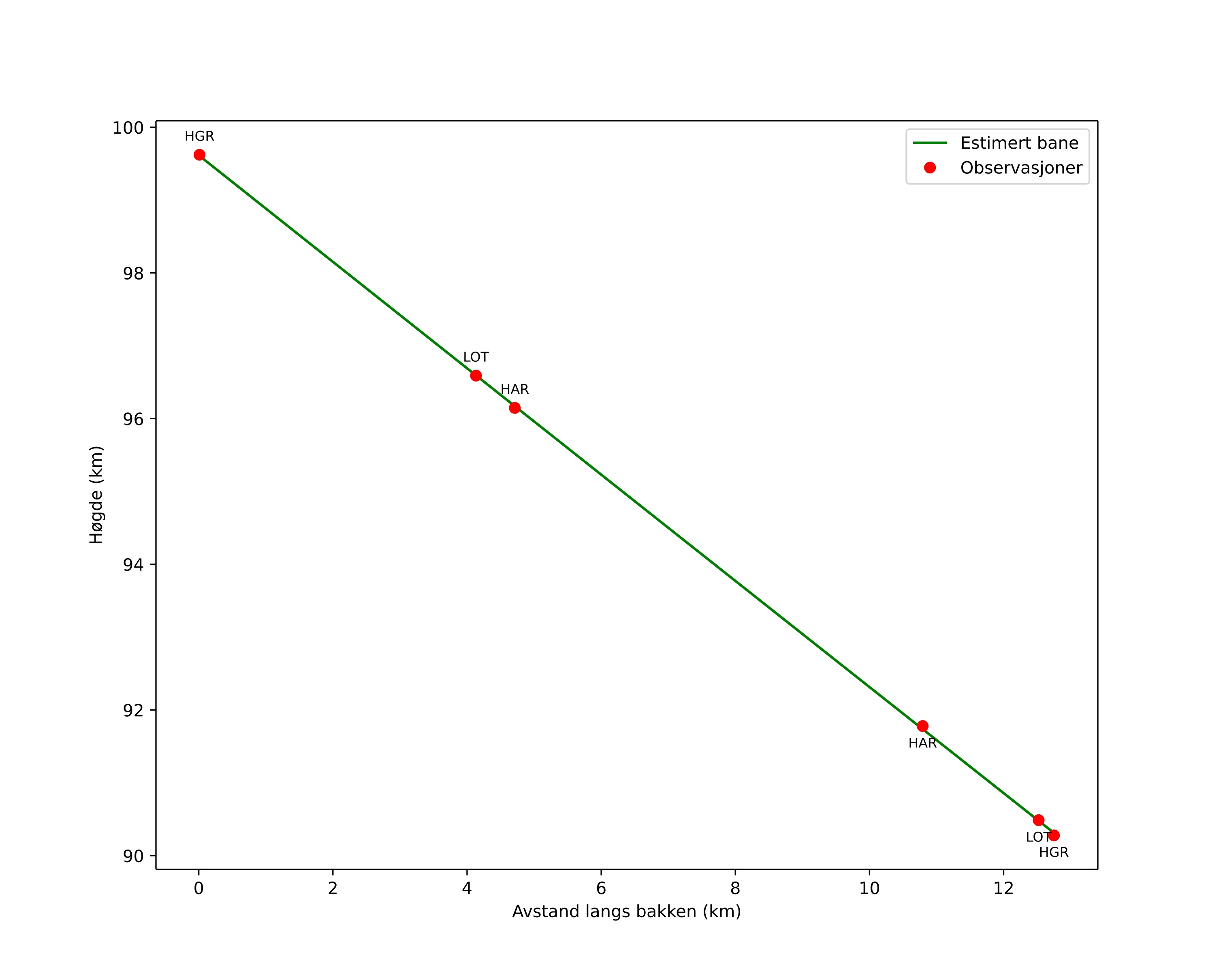
Atmosférická dráha meteoru:
| Počátečnà výška: | 97,5 km |
| Konečná výška: | 90,2 km |
| Počátečnà poloha: | 61,194N 10,842E |
| Konečná poloha: | 61,205N 10,655E |
| Směr: | 277,1° |
| Sklon: | 35,9° |
| VstupnĂ rychlost: | 73,0 km/s |
| Rektascenze radiantu: | 04:37 (69,3°) |
| Deklinace radiantu: | 27,4° |
| MeteorickĂ˝ roj: | sporadickĂ˝ |
|
Elementy dráhy meteoroidu:
| Vzdálenost v periheliu: | 0,861 AU |
| Excentricita: | 1,192 |
| Sklon dráhy: | 170,5° |
| Délka vzestupného uzlu: | 147,0° |
| Argument perihelia: | 136,5° |
| Střednà anomálie: | 2,8° |
| Epocha: | 2025 AUG 20 01:39:56 |
|