🇳🇴 🇬🇧 🇩🇪 🇨🇿 🇫🇮

Meteor over Berger 2025-08-22 01:46:38 UTC

KML-fil  |  Interaktivt kart

Kartet viser peilingene for meteoren. De lysere linjene viser retningene fra observasjonsstedene for meteorens tilsynekomst, og de mørkere linjene viser hvor den sist kunne sees. Den blå pila viser meteorens synlige ferd.

static map
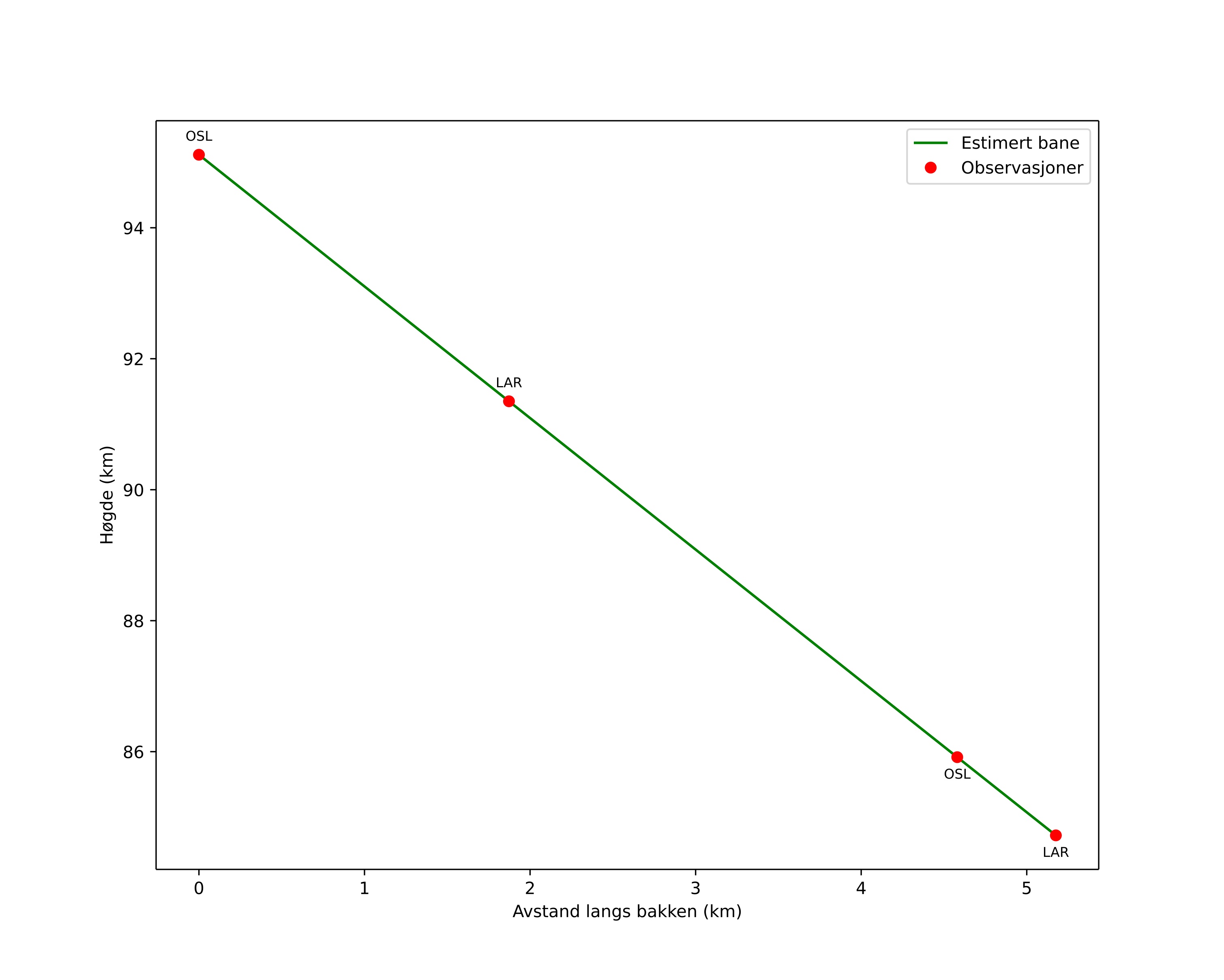
height profile
Meteorens atmosfæriske bane:
Starthøgde: 94,4 km
Slutthøgde: 83,6 km
Startposisjon: 59,575N 10,357E
Sluttposisjon: 59,550N 10,440E
Retning: 120,1°
Fallvinkel: 63,3°
Inngangshastighet: 29,2 km/s
Radiantens rektascensjon: 20:34 (308,7°)
Radiantens deklinasjon: 61,3°
Meteorsverm: sporadisk
Meteoroidens baneelement:
Perihelavstand: 0,957 AU
Eksentrisitet: 0,568
Inklinasjon: 45,8°
Knutelengde: 148,9°
Perihelargument: 211,7°
Midlere anomali: 352,5°
Epoke: 2025 AUG 22 01:46:38
orbit plot

Ikke-interaktivt plott | Interaktivt plott

position vs time
speed and acceleration

Larvik (LAR) cam6


gnomonic
Videoer
• Gnomonisk
• Gnomonisk med koordinater
• Original
• Original med koordinater
Bilder
• Gnomonisk
• Gnomonisk med koordinater
• Original
• Original med koordinater
Tekstfiler
• Deteksjon
• Observasjon
• Koordinater
• Logg
Lysstyrke

Voksenlia (OSL) cam7


gnomonic
Videoer
• Gnomonisk
• Gnomonisk med koordinater
• Original
• Original med koordinater
Bilder
• Gnomonisk
• Gnomonisk med koordinater
• Original
• Original med koordinater
Tekstfiler
• Deteksjon
• Observasjon
• Koordinater
• Logg
Lysstyrke