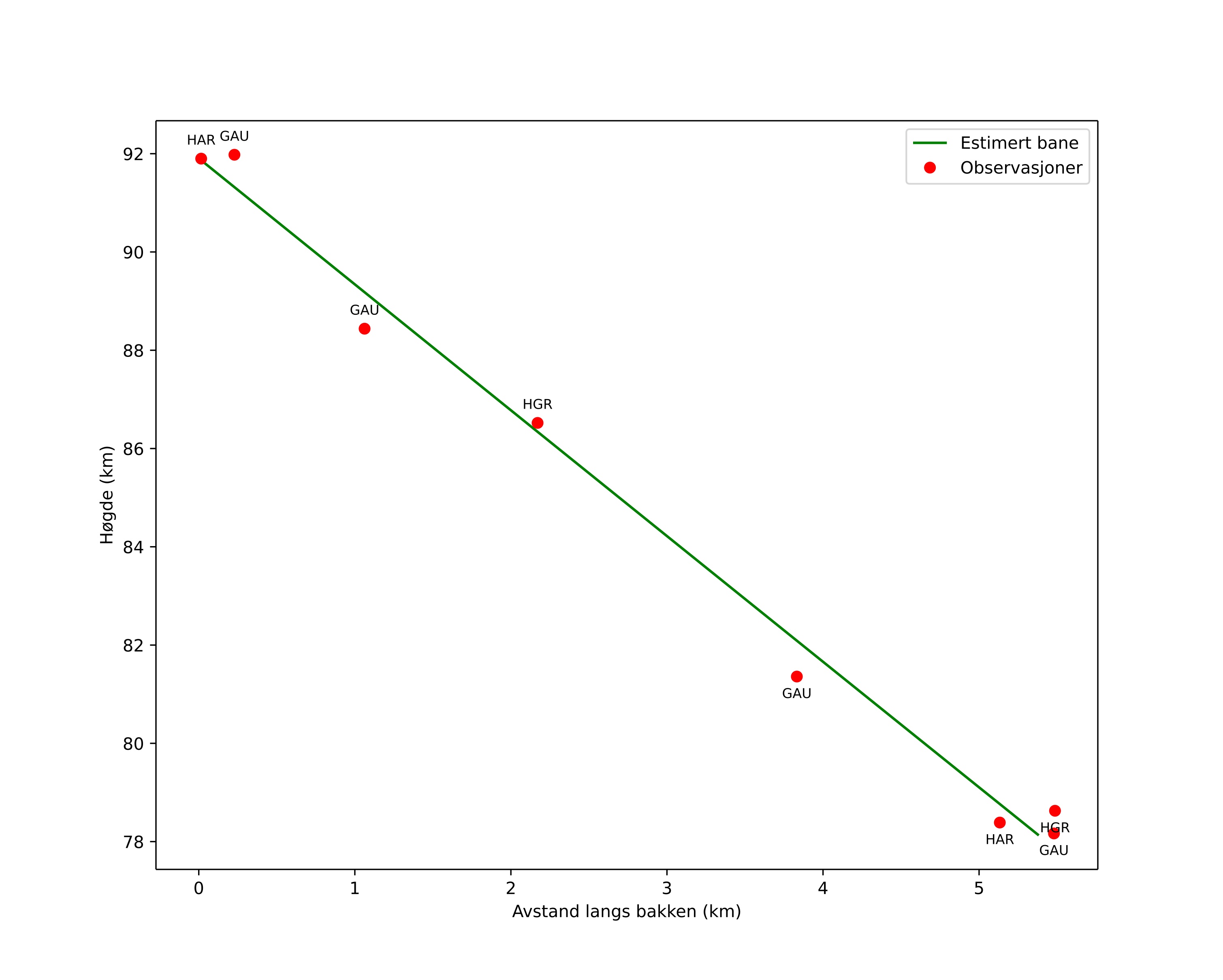
Atmosphärische Bahn des Meteors:
| Anfangshöhe: | 92,0 km |
| Endhöhe: | 77,4 km |
| Startposition: | 58,996N 6,802E |
| Endposition: | 58,970N 6,888E |
| Richtung: | 120,1° |
| Neigungswinkel: | 68,7° |
| Eintrittsgeschwindigkeit: | 23,7 km/s |
| Rektaszension des Radianten: | 17:47 (266,8°) |
| Deklination des Radianten: | 62,4° |
| Meteorstrom: | sporadisch |
|
Bahnelemente des Meteoroiden:
| Periheldistanz: | 1,011 AU |
| Exzentrizität: | 0,602 |
| Inklination: | 34,1° |
| Länge des aufsteigenden Knotens: | 149,7° |
| Argument des Perihels: | 182,6° |
| Mittlere Anomalie: | 359,5° |
| Epoche: | 2025 AUG 22 22:25:34 |
|