Atmosférická dráha meteoru:
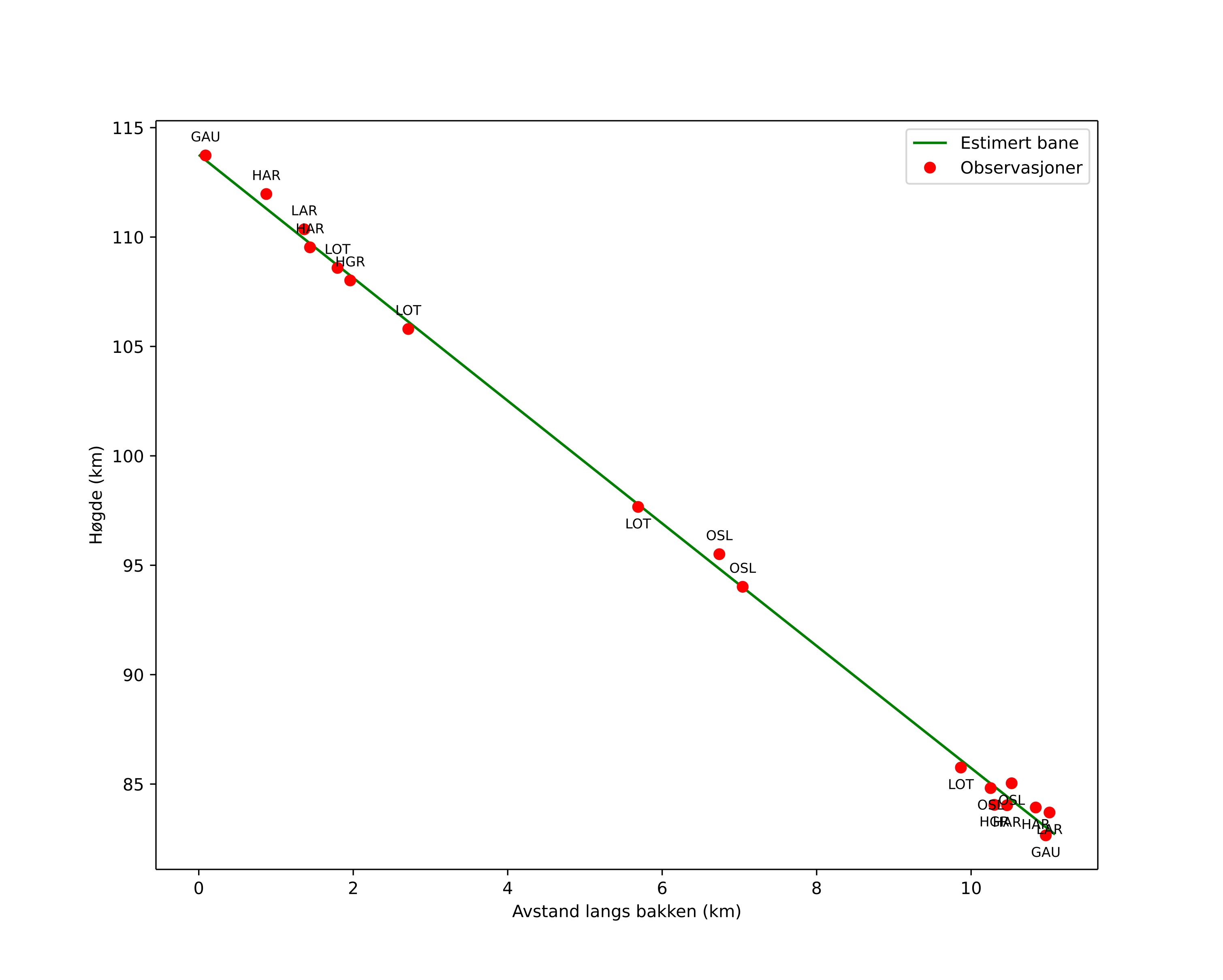
| Počátečnà výška: | 113,0 km |
| Konečná výška: | 83,1 km |
| Počátečnà poloha: | 59,554N 9,252E |
| Konečná poloha: | 59,539N 9,059E |
| Směr: | 261,0° |
| Sklon: | 69,8° |
| VstupnĂ rychlost: | 44,7 km/s |
| Rektascenze radiantu: | 23:51 (357,8°) |
| Deklinace radiantu: | 56,5° |
| MeteorickĂ˝ roj: | sporadickĂ˝ |
|
Elementy dráhy meteoroidu:
| Vzdálenost v periheliu: | 0,815 AU |
| Excentricita: | 0,630 |
| Sklon dráhy: | 80,2° |
| Délka vzestupného uzlu: | 149,7° |
| Argument perihelia: | 240,2° |
| Střednà anomálie: | 347,7° |
| Epocha: | 2025 AUG 22 22:36:10 |
|