🇳🇴 🇬🇧 🇩🇪 🇨🇿 🇫🇮

Meteor, poloha: Geilo 2025-08-22 23:27:20 UTC

Soubor KML  |  Interaktivní mapa

Mapa zobrazuje dráhy meteoru. Světlejší čáry ukazují směry od pozorovacích stanic při objevení se meteoru a tmavší čáry, kde byl naposledy viděn. Modrá šipka značí viditelnou dráhu meteoru.

static map
height profile
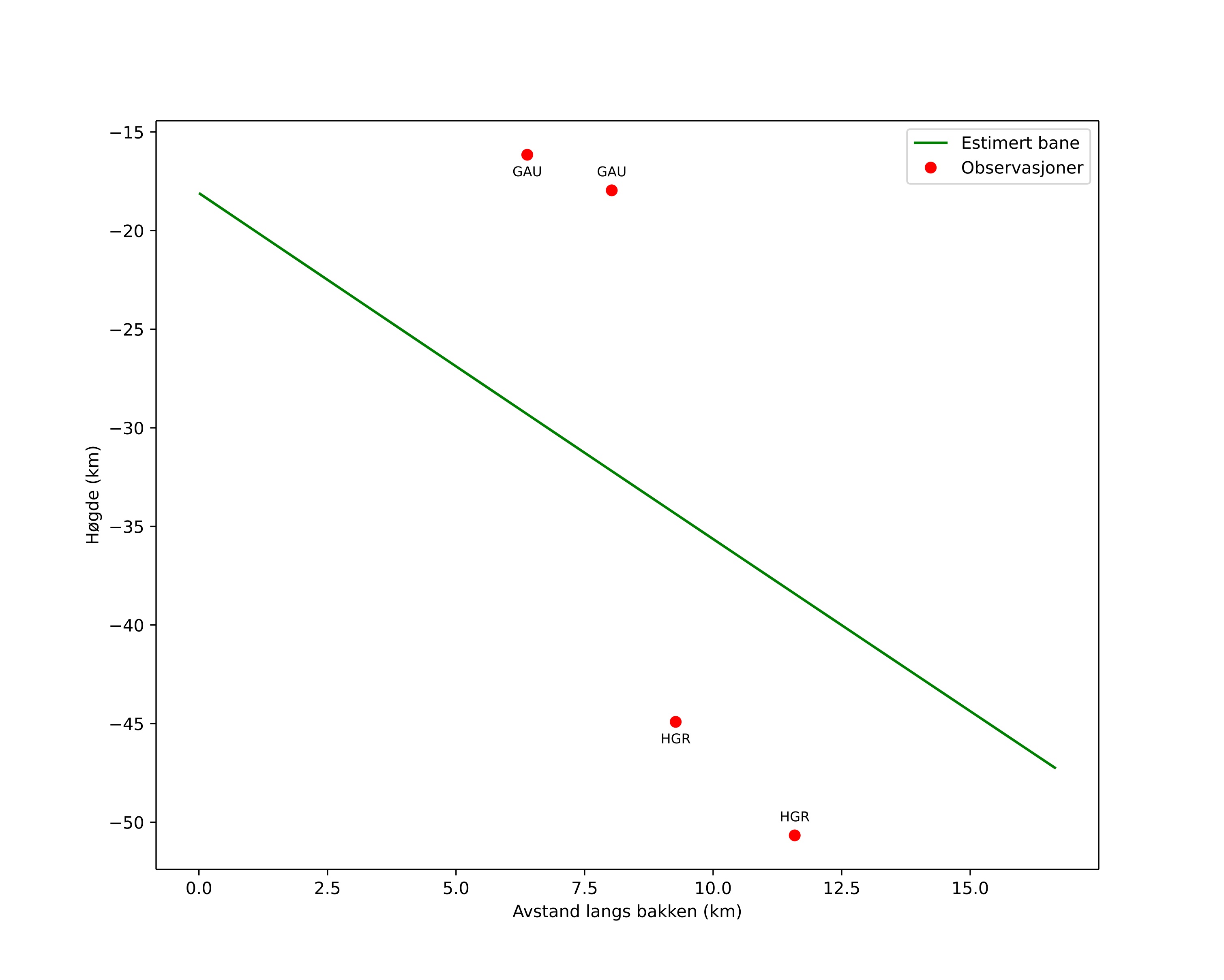
Atmosférická dráha meteoru:
Počáteční výška: -18,1 km
Konečná výška: -47,3 km
Počáteční poloha: 60,444N 8,229E
Konečná poloha: 60,535N 7,987E
Směr: 307,2°
Sklon: 60,4°
position vs time
speed and acceleration