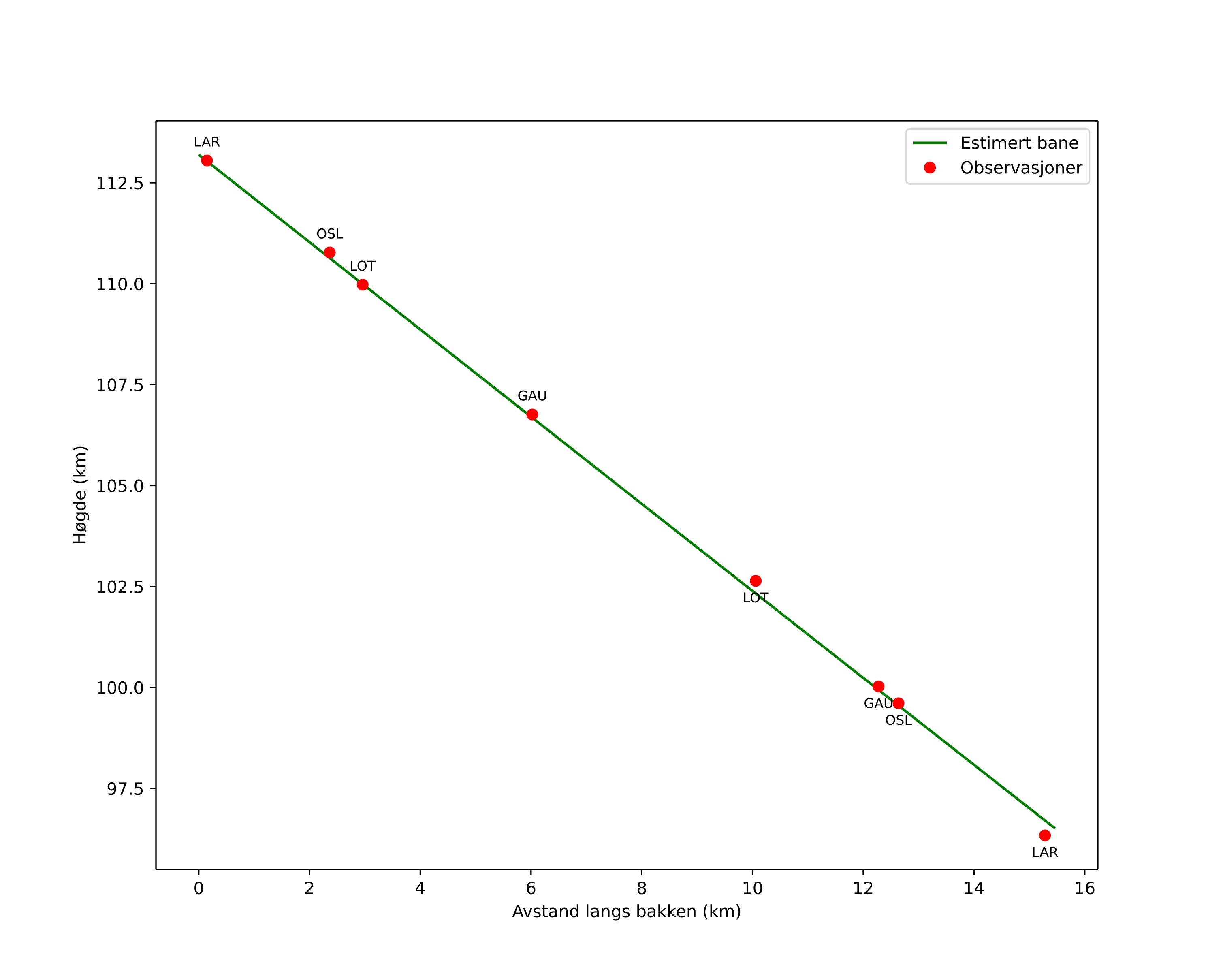
Atmosférická dráha meteoru:
| Počátečnà výška: | 113,1 km |
| Konečná výška: | 96,5 km |
| Počátečnà poloha: | 57,795N 11,644E |
| Konečná poloha: | 57,825N 11,391E |
| Směr: | 282,6° |
| Sklon: | 47,2° |
| VstupnĂ rychlost: | 73,0 km/s |
| Rektascenze radiantu: | 03:14 (48,7°) |
| Deklinace radiantu: | 32,5° |
| MeteorickĂ˝ roj: | sporadickĂ˝ |
|
Elementy dráhy meteoroidu:
| Vzdálenost v periheliu: | 0,993 AU |
| Excentricita: | 1,221 |
| Sklon dráhy: | 156,7° |
| Délka vzestupného uzlu: | 149,8° |
| Argument perihelia: | 194,8° |
| Střednà anomálie: | -1,0° |
| Epocha: | 2025 AUG 23 00:55:36 |
|