🇳🇴 🇬🇧 🇩🇪 🇨🇿 🇫🇮

Meteor over Hovden 2025-08-23 01:06:19 UTC

KML-fil  |  Interaktivt kart

Kartet viser peilingene for meteoren. De lysere linjene viser retningene fra observasjonsstedene for meteorens tilsynekomst, og de mørkere linjene viser hvor den sist kunne sees. Den blå pila viser meteorens synlige ferd.

static map
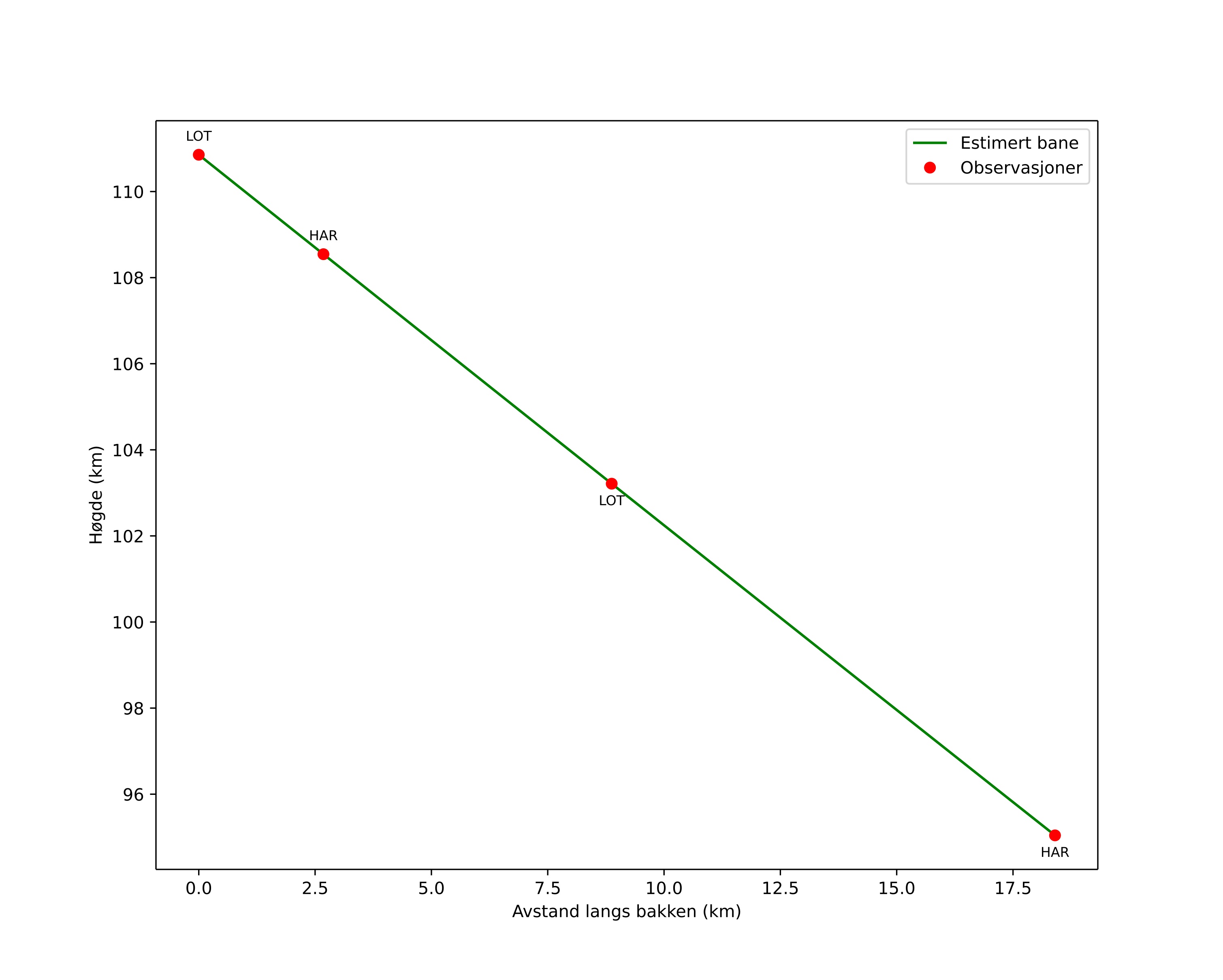
height profile
Meteorens atmosfæriske bane:
Starthøgde: 110,7 km
Slutthøgde: 95,2 km
Startposisjon: 59,228N 7,357E
Sluttposisjon: 59,259N 7,036E
Retning: 280,9°
Fallvinkel: 39,9°
Inngangshastighet: 70,5 km/s
Radiantens rektascensjon: 03:36 (54,1°)
Radiantens deklinasjon: 28,1°
Meteorsverm: sporadisk
Meteoroidens baneelement:
Perihelavstand: 1,009 AU
Eksentrisitet: 0,875
Inklinasjon: 165,3°
Knutelengde: 149,8°
Perihelargument: 186,1°
Midlere anomali: 359,8°
Epoke: 2025 AUG 23 01:06:19
orbit plot

Ikke-interaktivt plott | Interaktivt plott

position vs time
speed and acceleration

Harestua (HAR) cam4


gnomonic
Videoer
• Gnomonisk
• Gnomonisk med koordinater
• Original
• Original med koordinater
Bilder
• Gnomonisk
• Gnomonisk med koordinater
• Original
• Original med koordinater
Tekstfiler
• Deteksjon
• Observasjon
• Koordinater
• Logg
Lysstyrke

Loten (LOT) cam4


gnomonic
Videoer
• Gnomonisk
• Gnomonisk med koordinater
• Original
• Original med koordinater
Bilder
• Gnomonisk
• Gnomonisk med koordinater
• Original
• Original med koordinater
Tekstfiler
• Deteksjon
• Observasjon
• Koordinater
• Logg
Lysstyrke