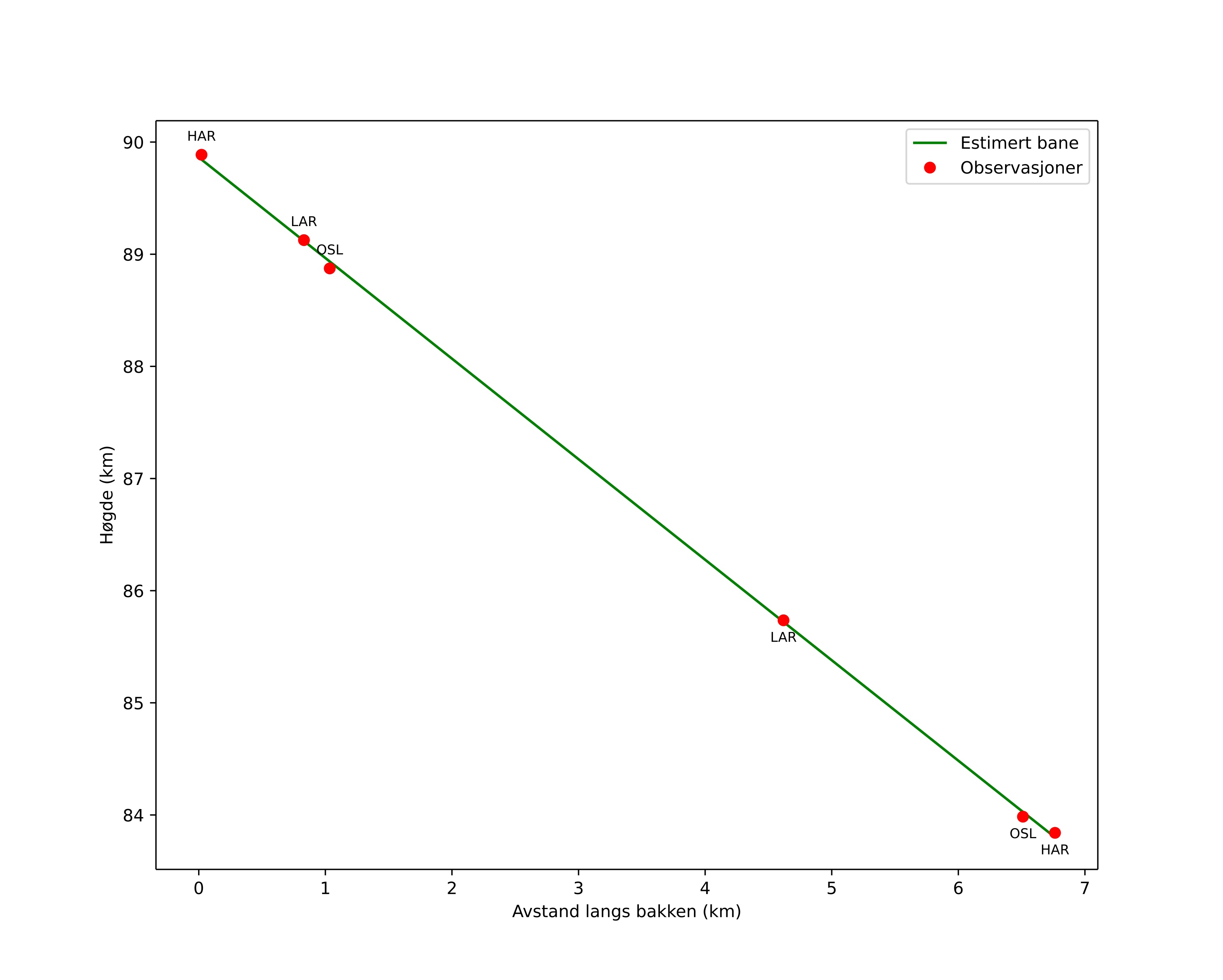
Atmosphärische Bahn des Meteors:
| Anfangshöhe: | 90,4 km |
| Endhöhe: | 84,7 km |
| Startposition: | 59,356N 11,181E |
| Endposition: | 59,412N 11,219E |
| Richtung: | 19,7° |
| Neigungswinkel: | 41,1° |
| Eintrittsgeschwindigkeit: | 41,2 km/s |
| Rektaszension des Radianten: | 23:00 (345,2°) |
| Deklination des Radianten: | 10,6° |
| Meteorstrom: | sporadisch |
|
Bahnelemente des Meteoroiden:
| Periheldistanz: | 0,214 AU |
| Exzentrizität: | 0,980 |
| Inklination: | 33,8° |
| Länge des aufsteigenden Knotens: | 149,8° |
| Argument des Perihels: | 306,3° |
| Mittlere Anomalie: | 359,0° |
| Epoche: | 2025 AUG 23 01:13:13 |
|