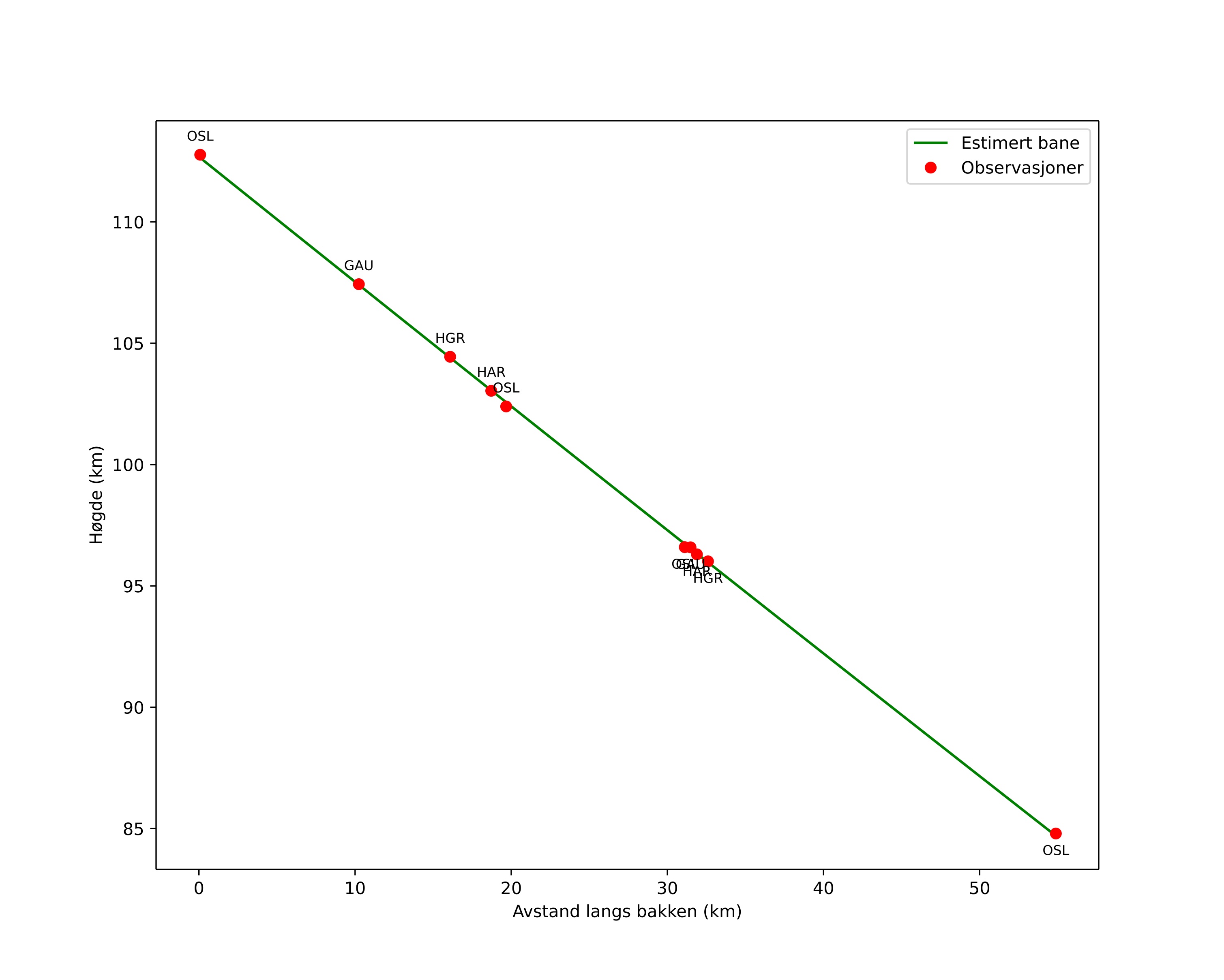
Atmosférická dráha meteoru:
| Počátečnà výška: | 110,3 km |
| Konečná výška: | 95,6 km |
| Počátečnà poloha: | 62,135N 6,065E |
| Konečná poloha: | 62,092N 5,513E |
| Směr: | 260,7° |
| Sklon: | 26,8° |
| VstupnĂ rychlost: | 63,0 km/s |
| Rektascenze radiantu: | 05:52 (88,2°) |
| Deklinace radiantu: | 27,4° |
| MeteorickĂ˝ roj: | sporadickĂ˝ |
|
Elementy dráhy meteoroidu:
| Vzdálenost v periheliu: | 0,386 AU |
| Excentricita: | 0,878 |
| Sklon dráhy: | 170,2° |
| Délka vzestupného uzlu: | 149,8° |
| Argument perihelia: | 71,2° |
| Střednà anomálie: | 7,4° |
| Epocha: | 2025 AUG 23 01:44:21 |
|