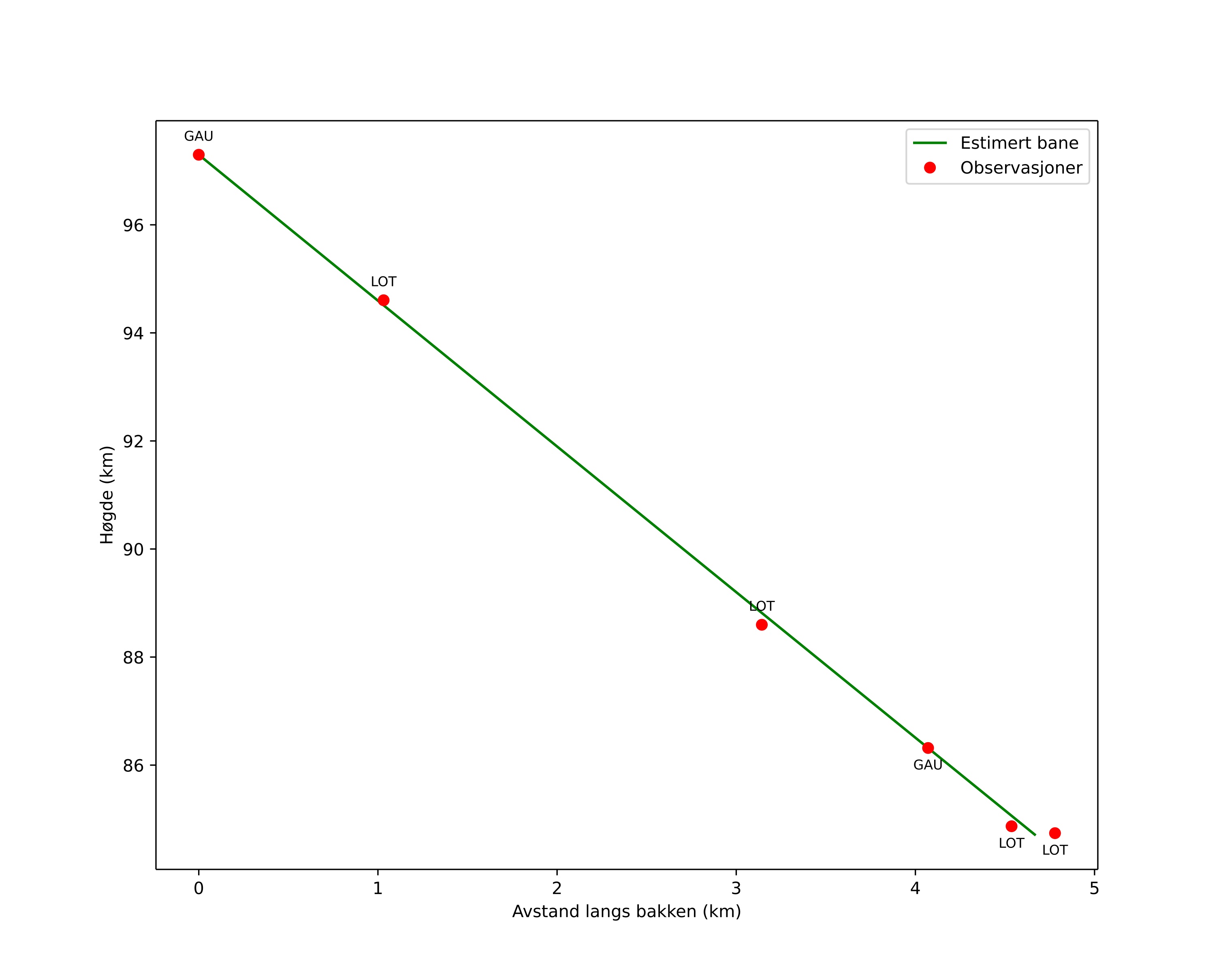
Atmosférická dráha meteoru:
| Počátečnà výška: | 97,3 km |
| Konečná výška: | 84,7 km |
| Počátečnà poloha: | 59,915N 12,042E |
| Konečná poloha: | 59,899N 12,120E |
| Směr: | 111,7° |
| Sklon: | 69,7° |
| VstupnĂ rychlost: | 48,4 km/s |
| Rektascenze radiantu: | 22:52 (343,1°) |
| Deklinace radiantu: | 60,6° |
| MeteorickĂ˝ roj: | sporadickĂ˝ |
|
Elementy dráhy meteoroidu:
| Vzdálenost v periheliu: | 0,911 AU |
| Excentricita: | 1,184 |
| Sklon dráhy: | 76,7° |
| Délka vzestupného uzlu: | 149,9° |
| Argument perihelia: | 215,2° |
| Střednà anomálie: | -2,0° |
| Epocha: | 2025 AUG 23 02:49:55 |
|