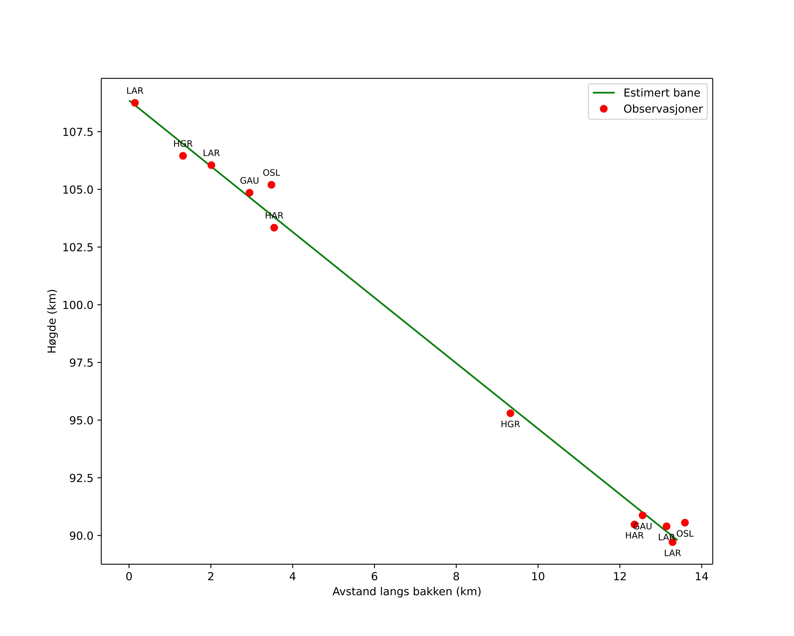
Atmosférická dráha meteoru:
| Počátečnà výška: | 109,1 km |
| Konečná výška: | 89,8 km |
| Počátečnà poloha: | 58,736N 12,173E |
| Konečná poloha: | 58,654N 11,998E |
| Směr: | 228,0° |
| Sklon: | 54,8° |
| VstupnĂ rychlost: | 56,8 km/s |
| Rektascenze radiantu: | 01:41 (25,3°) |
| Deklinace radiantu: | 63,9° |
| MeteorickĂ˝ roj: | sporadickĂ˝ |
|
Elementy dráhy meteoroidu:
| Vzdálenost v periheliu: | 0,988 AU |
| Excentricita: | 1,078 |
| Sklon dráhy: | 99,4° |
| Délka vzestupného uzlu: | 152,6° |
| Argument perihelia: | 196,8° |
| Střednà anomálie: | -0,3° |
| Epocha: | 2025 AUG 25 21:25:08 |
|