🇳🇴 🇬🇧 🇩🇪 🇨🇿 🇫🇮

Meteor over Torsby 2025-08-25 21:31:54 UTC

KML-fil  |  Interaktivt kart

Kartet viser peilingene for meteoren. De lysere linjene viser retningene fra observasjonsstedene for meteorens tilsynekomst, og de mørkere linjene viser hvor den sist kunne sees. Den blå pila viser meteorens synlige ferd.

static map
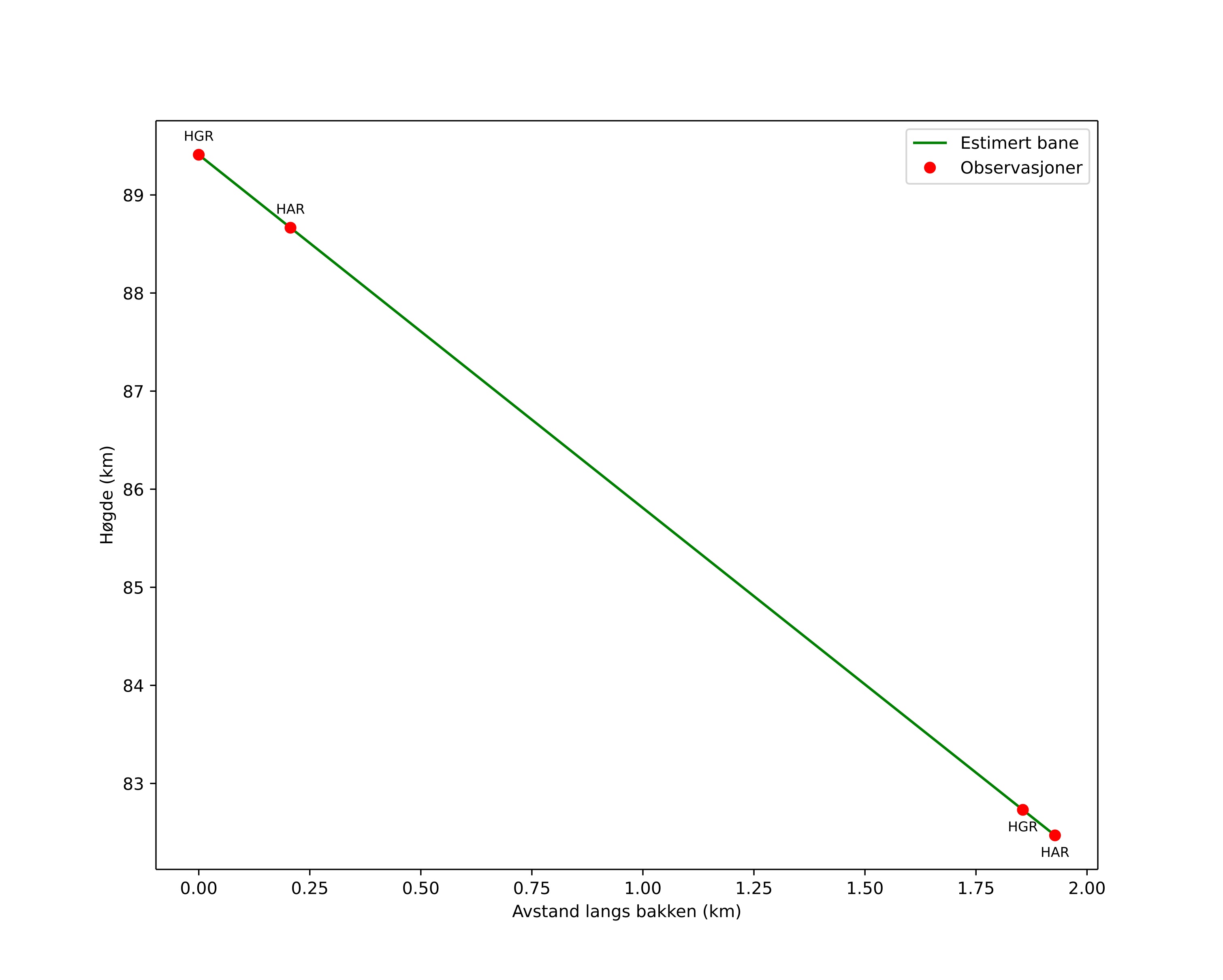
height profile
Meteorens atmosfæriske bane:
Starthøgde: 90,3 km
Slutthøgde: 82,7 km
Startposisjon: 59,971N 12,724E
Sluttposisjon: 59,970N 12,732E
Retning: 108,1°
Fallvinkel: 86,1°
Inngangshastighet: 28,6 km/s
Radiantens rektascensjon: 20:03 (300,9°)
Radiantens deklinasjon: 60,7°
Meteorsverm: Kappa-cygnidene
Meteoroidens baneelement:
Perihelavstand: 0,971 AU
Eksentrisitet: 0,660
Inklinasjon: 43,1°
Knutelengde: 152,6°
Perihelargument: 205,8°
Midlere anomali: 355,9°
Epoke: 2025 AUG 25 21:31:54
orbit plot

Ikke-interaktivt plott | Interaktivt plott

position vs time
speed and acceleration

Hagar (HGR) cam4


gnomonic
Videoer
• Gnomonisk
• Gnomonisk med koordinater
• Original
• Original med koordinater
Bilder
• Gnomonisk
• Gnomonisk med koordinater
• Original
• Original med koordinater
Tekstfiler
• Deteksjon
• Observasjon
• Koordinater
• Logg
Lysstyrke

Harestua (HAR) cam3


gnomonic
Videoer
• Gnomonisk
• Gnomonisk med koordinater
• Original
• Original med koordinater
Bilder
• Gnomonisk
• Gnomonisk med koordinater
• Original
• Original med koordinater
Tekstfiler
• Deteksjon
• Observasjon
• Koordinater
• Logg
Lysstyrke