Atmosférická dráha meteoru:
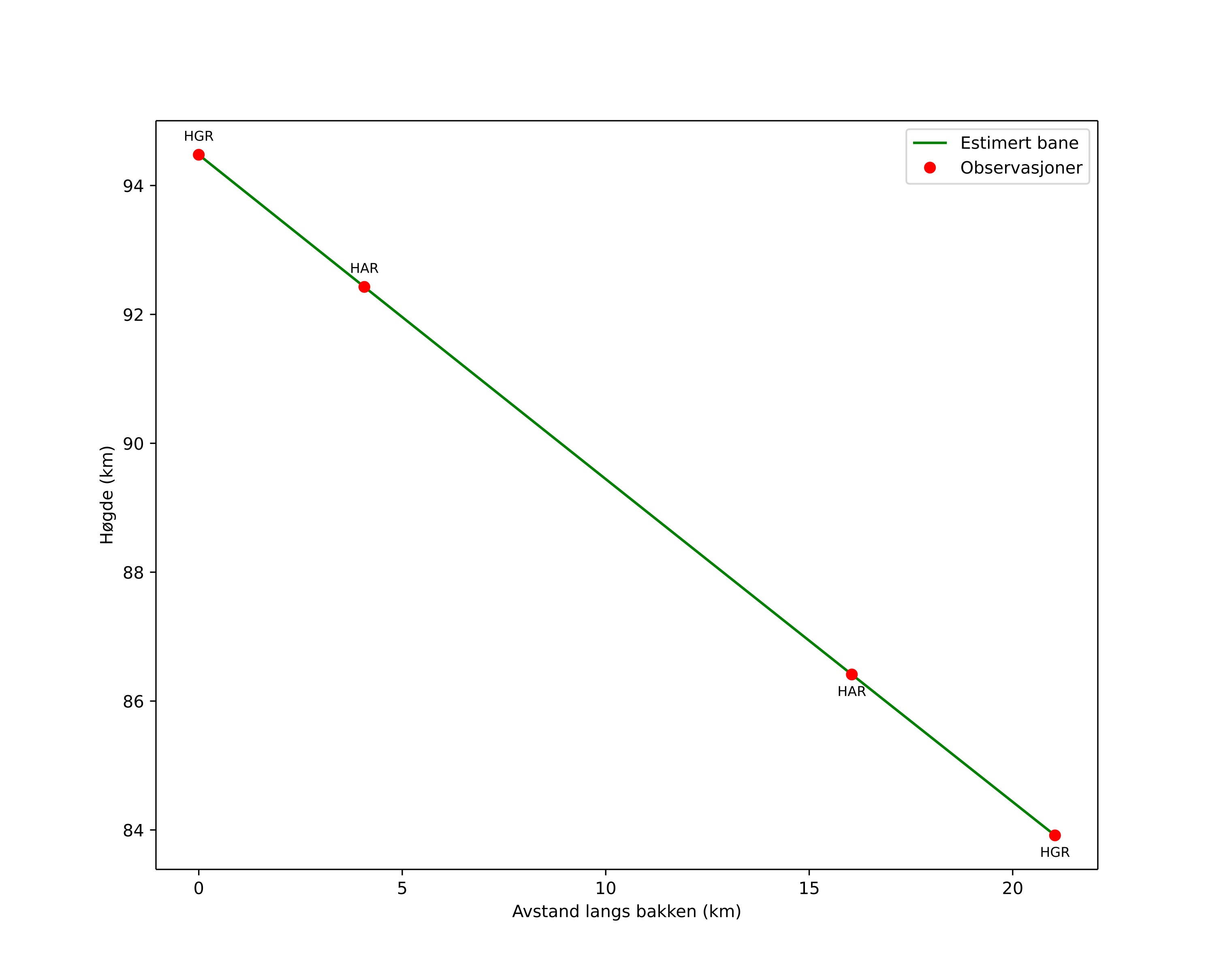
| Počátečnà výška: | 95,6 km |
| Konečná výška: | 83,7 km |
| Počátečnà poloha: | 60,415N 14,517E |
| Konečná poloha: | 60,606N 14,312E |
| Směr: | 332,3° |
| Sklon: | 26,4° |
| VstupnĂ rychlost: | 34,0 km/s |
| Rektascenze radiantu: | 23:21 (350,5°) |
| Deklinace radiantu: | -2,4° |
| MeteorickĂ˝ roj: | sporadickĂ˝ |
|
Elementy dráhy meteoroidu:
| Vzdálenost v periheliu: | 0,239 AU |
| Excentricita: | 0,890 |
| Sklon dráhy: | 2,5° |
| Délka vzestupného uzlu: | 152,6° |
| Argument perihelia: | 308,5° |
| Střednà anomálie: | 347,6° |
| Epocha: | 2025 AUG 25 22:28:51 |
|