🇳🇴 🇬🇧 🇩🇪 🇨🇿 🇫🇮

Meteor, poloha: Torsby 2025-08-25 22:48:40 UTC

Soubor KML  |  InteraktivnĂ­ mapa

Mapa zobrazuje dráhy meteoru. Světlejší čáry ukazují směry od pozorovacích stanic při objevení se meteoru a tmavší čáry, kde byl naposledy viděn. Modrá šipka značí viditelnou dráhu meteoru.

static map
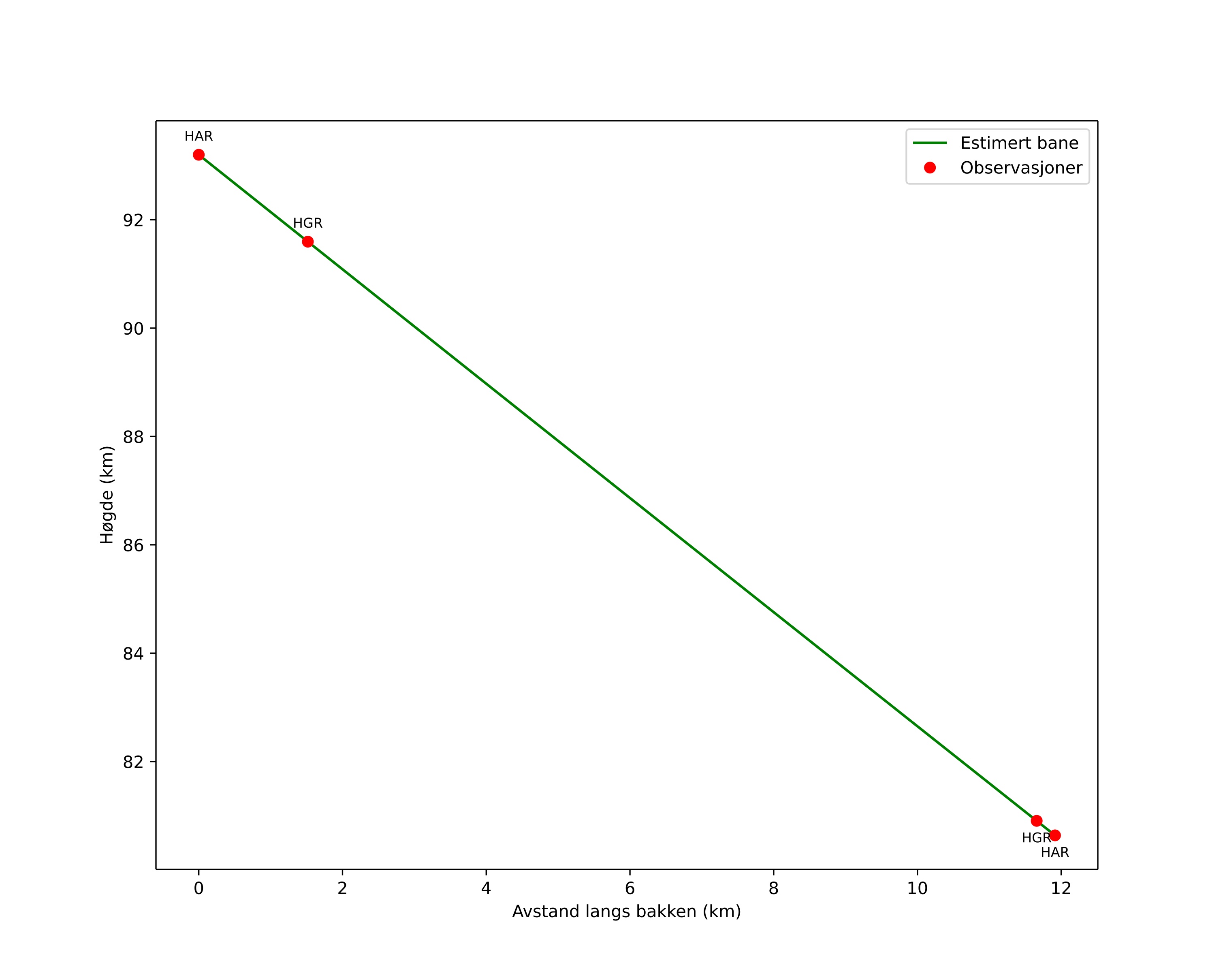
height profile
Atmosférická dráha meteoru:
Počáteční výška: 93,2 km
Konečná výška: 80,1 km
Počáteční poloha: 60,473N 13,119E
Konečná poloha: 60,374N 13,225E
Směr: 152,0°
Sklon: 46,4°
VstupnĂ­ rychlost: 27,2 km/s
Rektascenze radiantu: 13:55 (208,9°)
Deklinace radiantu: 66,6°
MeteorickĂ˝ roj: sporadickĂ˝
Elementy dráhy meteoroidu:
Vzdálenost v periheliu: 0,936 AU
Excentricita: 0,700
Sklon dráhy: 38,0°
Délka vzestupného uzlu: 152,6°
Argument perihelia: 145,0°
Střední anomálie: 4,6°
Epocha: 2025 AUG 25 22:48:40
orbit plot

NeinteraktivnĂ­ graf | InteraktivnĂ­ graf

position vs time
speed and acceleration

Hagar (HGR) cam3


gnomonic
Videa
• Gnomonická
• Gnomonická se souřadnicemi
• Původní
• Původní se souřadnicemi
Obrázky
• Gnomonická
• Gnomonická se souřadnicemi
• Původní
• Původní se souřadnicemi
Textové soubory
• Detekce
• Pozorování
• Souřadnice
• Protokol
Jasnost

Harestua (HAR) cam2


gnomonic
Videa
• Gnomonická
• Gnomonická se souřadnicemi
• Původní
• Původní se souřadnicemi
Obrázky
• Gnomonická
• Gnomonická se souřadnicemi
• Původní
• Původní se souřadnicemi
Textové soubory
• Detekce
• Pozorování
• Souřadnice
• Protokol
Jasnost