Atmosférická dráha meteoru:
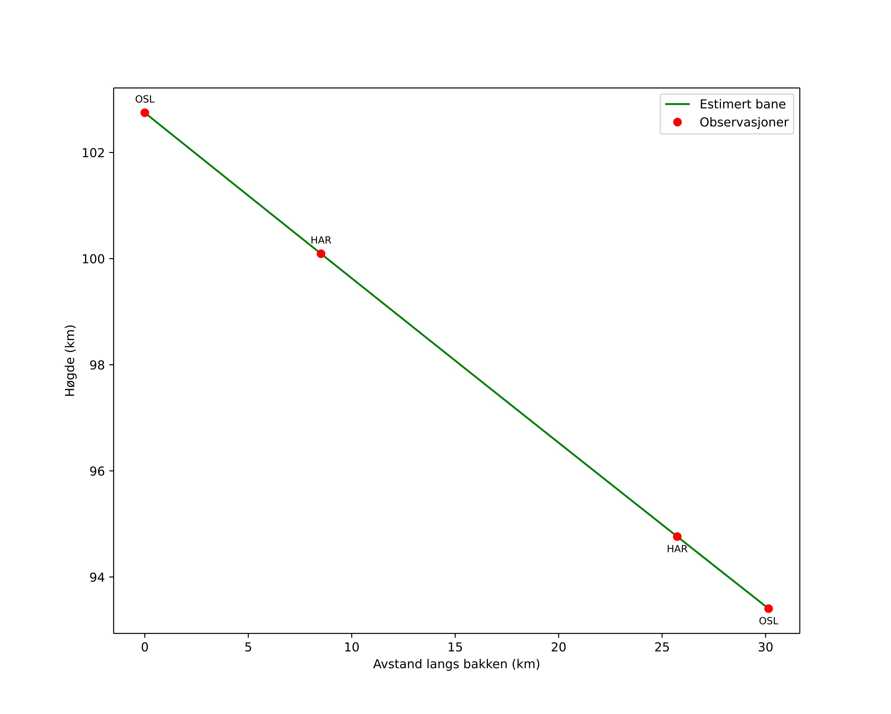
| Počátečnà výška: | 98,7 km |
| Konečná výška: | 92,6 km |
| Počátečnà poloha: | 60,844N 11,585E |
| Konečná poloha: | 61,038N 11,524E |
| Směr: | 351,4° |
| Sklon: | 15,7° |
| VstupnĂ rychlost: | 28,7 km/s |
| Rektascenze radiantu: | 22:25 (336,4°) |
| Deklinace radiantu: | -16,8° |
| MeteorickĂ˝ roj: | sporadickĂ˝ |
|
Elementy dráhy meteoroidu:
| Vzdálenost v periheliu: | 0,541 AU |
| Excentricita: | 0,908 |
| Sklon dráhy: | 5,7° |
| Délka vzestupného uzlu: | 332,6° |
| Argument perihelia: | 88,7° |
| Střednà anomálie: | 357,1° |
| Epocha: | 2025 AUG 25 22:49:52 |
|