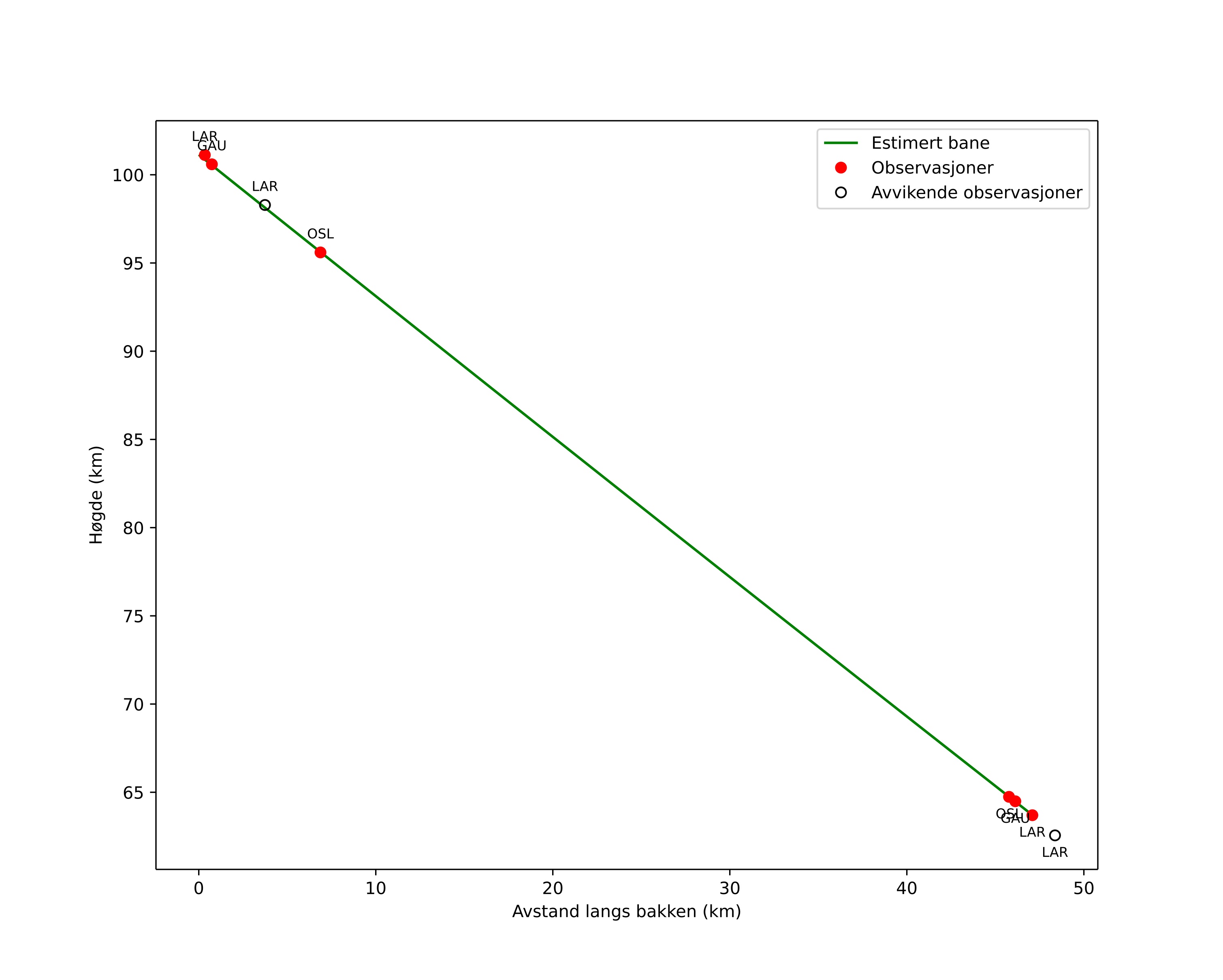
Atmosférická dráha meteoru:
| Počátečnà výška: | 104,2 km |
| Konečná výška: | 65,0 km |
| Počátečnà poloha: | 56,433N 10,716E |
| Konečná poloha: | 55,944N 10,800E |
| Směr: | 174,5° |
| Sklon: | 35,6° |
| VstupnĂ rychlost: | 40,8 km/s |
| Rektascenze radiantu: | 10:53 (163,3°) |
| Deklinace radiantu: | 67,9° |
| MeteorickĂ˝ roj: | sporadickĂ˝ |
|
Elementy dráhy meteoroidu:
| Vzdálenost v periheliu: | 0,780 AU |
| Excentricita: | 1,053 |
| Sklon dráhy: | 58,1° |
| Délka vzestupného uzlu: | 152,6° |
| Argument perihelia: | 123,7° |
| Střednà anomálie: | 0,6° |
| Epocha: | 2025 AUG 25 23:02:17 |
|