🇳🇴 🇬🇧 🇩🇪 🇨🇿 🇫🇮

Meteor, poloha: Hov 2025-08-25 23:36:06 UTC

Soubor KML  |  Interaktivní mapa

Mapa zobrazuje dráhy meteoru. Světlejší čáry ukazují směry od pozorovacích stanic při objevení se meteoru a tmavší čáry, kde byl naposledy viděn. Modrá šipka značí viditelnou dráhu meteoru.

static map
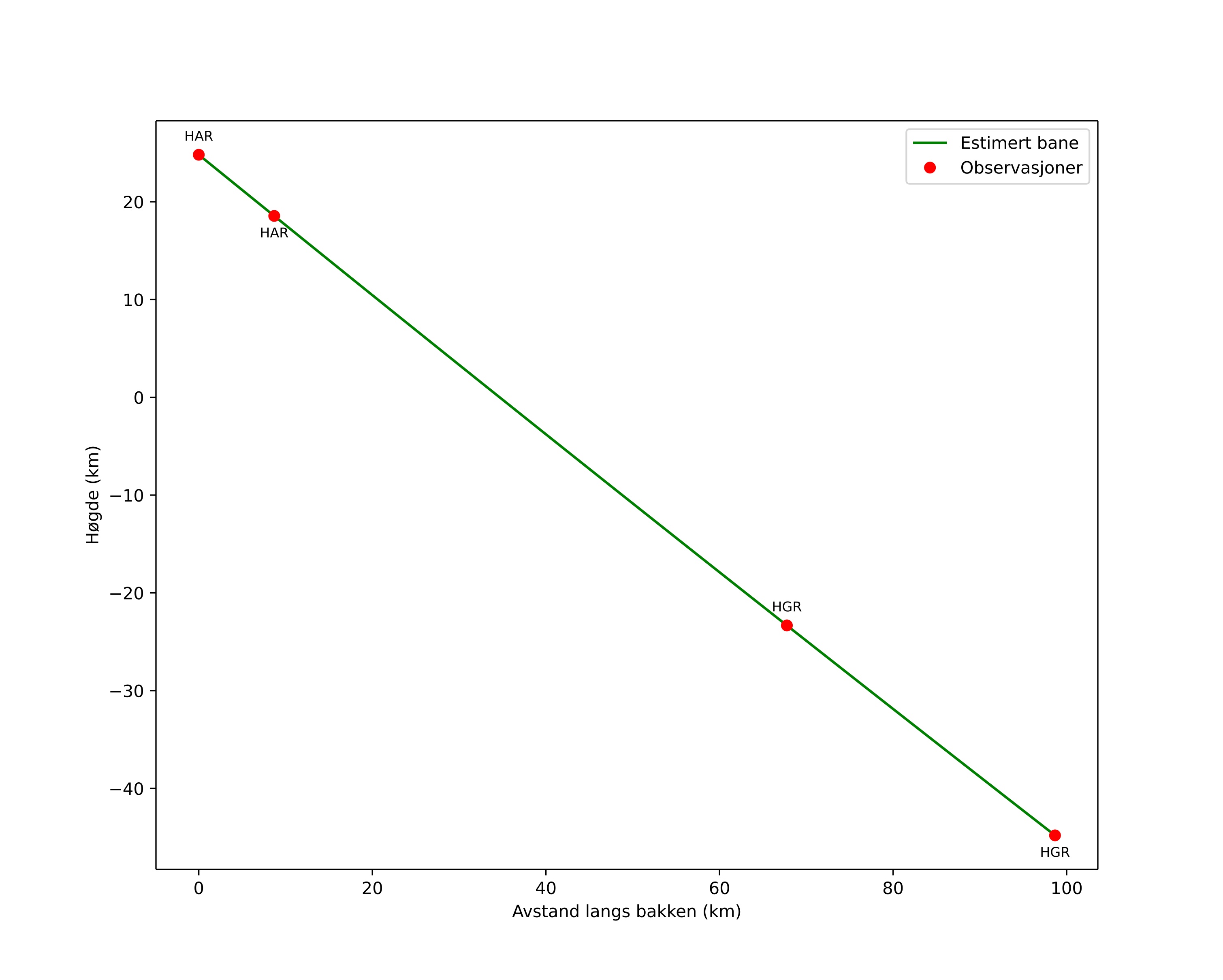
height profile
Atmosférická dráha meteoru:
Počáteční výška: 21,0 km
Konečná výška: 16,7 km
Počáteční poloha: 60,532N 10,066E
Konečná poloha: 60,566N 10,161E
Směr: 54,4°
Sklon: 34,0°
Vstupní rychlost: 8,0 km/s
orbit plot

Neinteraktivní graf | Interaktivní graf

position vs time
speed and acceleration