🇳🇴 🇬🇧 🇩🇪 🇨🇿 🇫🇮

Meteor over Engerdal 2025-08-26 00:10:13 UTC

KML-fil  |  Interaktivt kart

Kartet viser peilingene for meteoren. De lysere linjene viser retningene fra observasjonsstedene for meteorens tilsynekomst, og de mørkere linjene viser hvor den sist kunne sees. Den blå pila viser meteorens synlige ferd.

static map
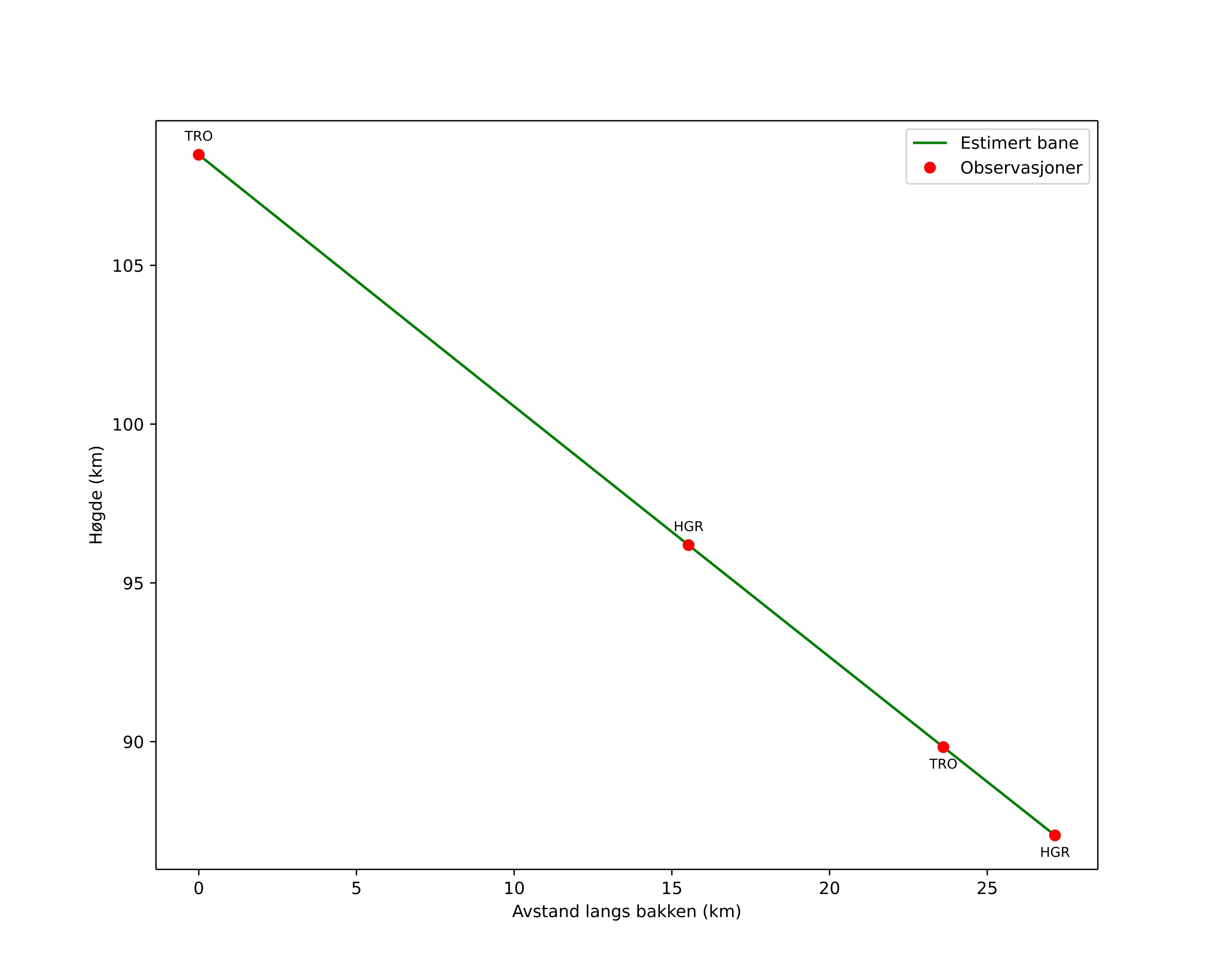
height profile
Meteorens atmosfæriske bane:
Starthøgde: 104,1 km
Slutthøgde: 83,3 km
Startposisjon: 62,409N 12,949E
Sluttposisjon: 62,293N 12,450E
Retning: 243,7°
Fallvinkel: 35,8°
Inngangshastighet: 60,6 km/s
Radiantens rektascensjon: 05:33 (83,5°)
Radiantens deklinasjon: 42,9°
Meteorsverm: alpha-aurigidene
Meteoroidens baneelement:
Perihelavstand: 0,602 AU
Eksentrisitet: 0,709
Inklinasjon: 138,2°
Knutelengde: 152,7°
Perihelargument: 91,5°
Midlere anomali: 15,7°
Epoke: 2025 AUG 26 00:10:13
orbit plot

Ikke-interaktivt plott | Interaktivt plott

position vs time
speed and acceleration

Hagar (HGR) cam3


gnomonic
Videoer
• Gnomonisk
• Gnomonisk med koordinater
• Original
• Original med koordinater
Bilder
• Gnomonisk
• Gnomonisk med koordinater
• Original
• Original med koordinater
Tekstfiler
• Deteksjon
• Observasjon
• Koordinater
• Logg
Lysstyrke

Trondheim (TRO) cam2


gnomonic
Videoer
• Gnomonisk
• Gnomonisk med koordinater
• Original
• Original med koordinater
Bilder
• Gnomonisk
• Gnomonisk med koordinater
• Original
• Original med koordinater
Tekstfiler
• Deteksjon
• Observasjon
• Koordinater
• Logg
Lysstyrke