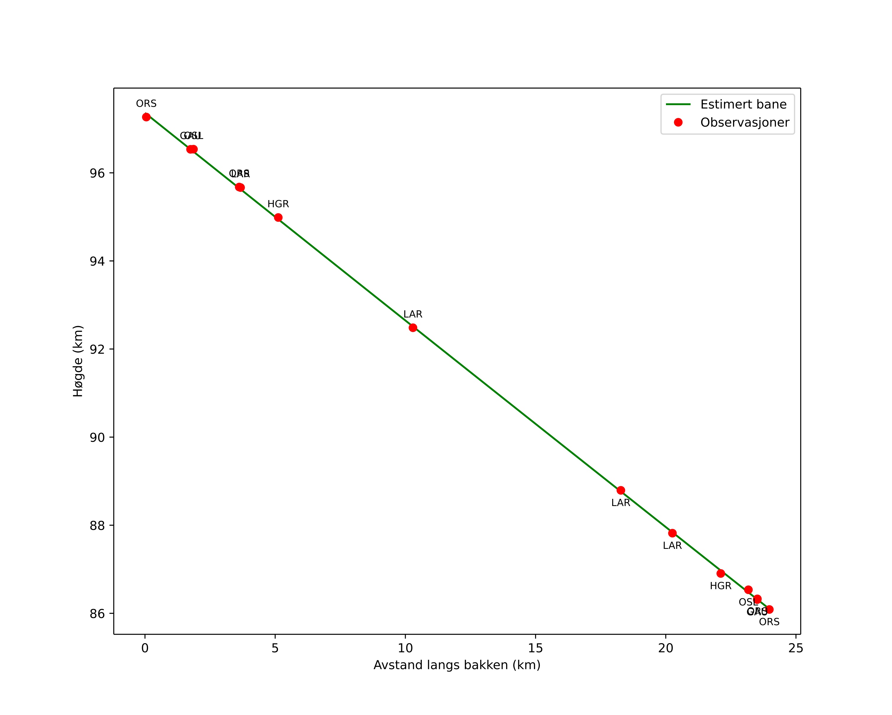
Atmosphärische Bahn des Meteors:
| Anfangshöhe: | 97,7 km |
| Endhöhe: | 86,2 km |
| Startposition: | 60,392N 6,341E |
| Endposition: | 60,493N 5,939E |
| Richtung: | 297,1° |
| Neigungswinkel: | 24,9° |
| Eintrittsgeschwindigkeit: | 67,5 km/s |
| Rektaszension des Radianten: | 04:17 (64,4°) |
| Deklination des Radianten: | 8,8° |
| Meteorstrom: | sporadisch |
|
Bahnelemente des Meteoroiden:
| Periheldistanz: | 1,009 AU |
| Exzentrizität: | 0,658 |
| Inklination: | 158,1° |
| Länge des aufsteigenden Knotens: | 332,8° |
| Argument des Perihels: | 355,6° |
| Mittlere Anomalie: | 0,7° |
| Epoche: | 2025 AUG 26 01:56:08 |
|