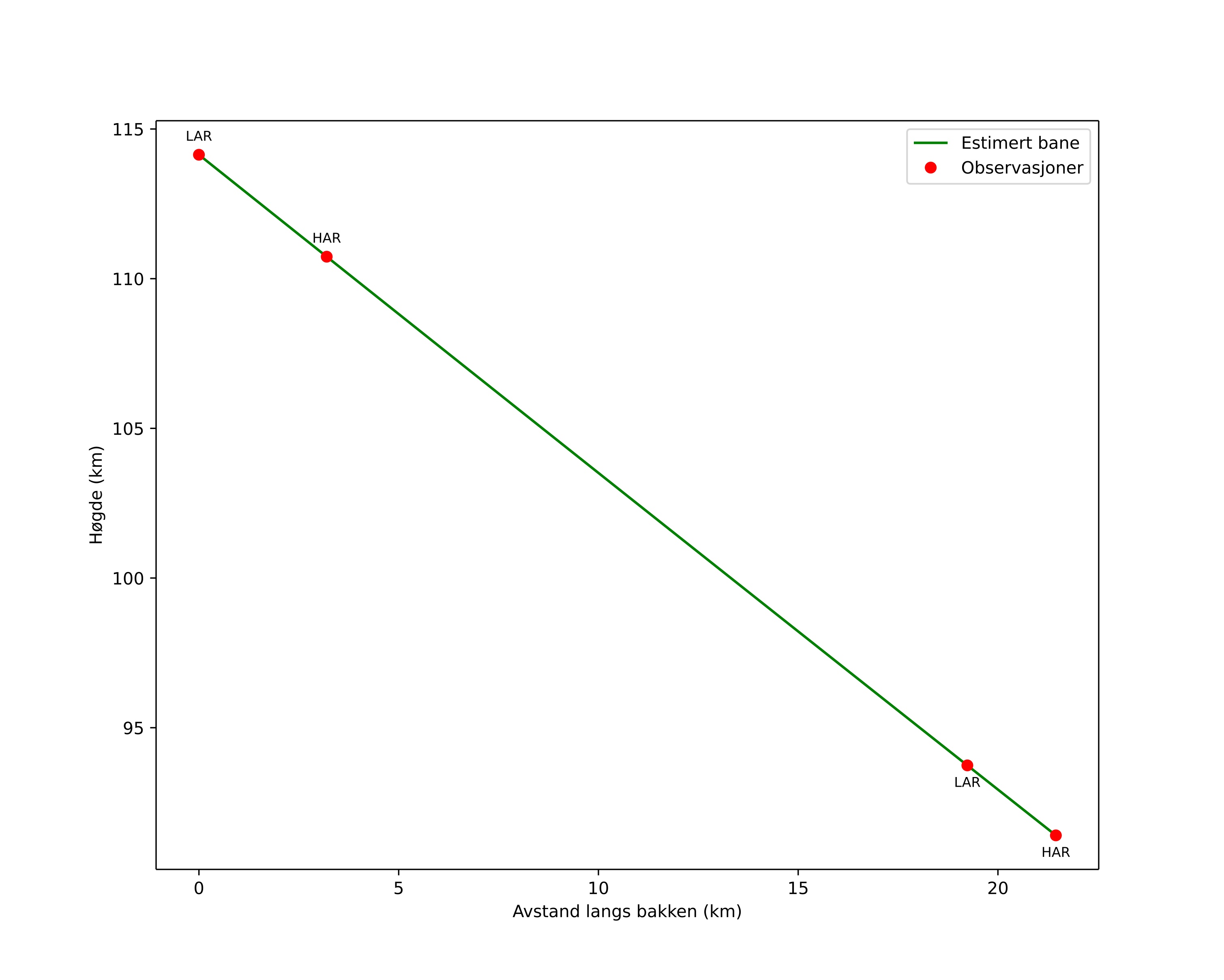
Atmosférická dráha meteoru:
| Počátečnà výška: | 110,5 km |
| Konečná výška: | 91,8 km |
| Počátečnà poloha: | 59,550N 9,806E |
| Konečná poloha: | 59,389N 9,704E |
| Směr: | 197,8° |
| Sklon: | 44,8° |
| VstupnĂ rychlost: | 58,3 km/s |
| Rektascenze radiantu: | 05:02 (75,6°) |
| Deklinace radiantu: | 71,5° |
| MeteorickĂ˝ roj: | sporadickĂ˝ |
|
Elementy dráhy meteoroidu:
| Vzdálenost v periheliu: | 0,942 AU |
| Excentricita: | 1,283 |
| Sklon dráhy: | 98,3° |
| Délka vzestupného uzlu: | 153,5° |
| Argument perihelia: | 151,6° |
| Střednà anomálie: | 3,0° |
| Epocha: | 2025 AUG 26 20:56:35 |
|