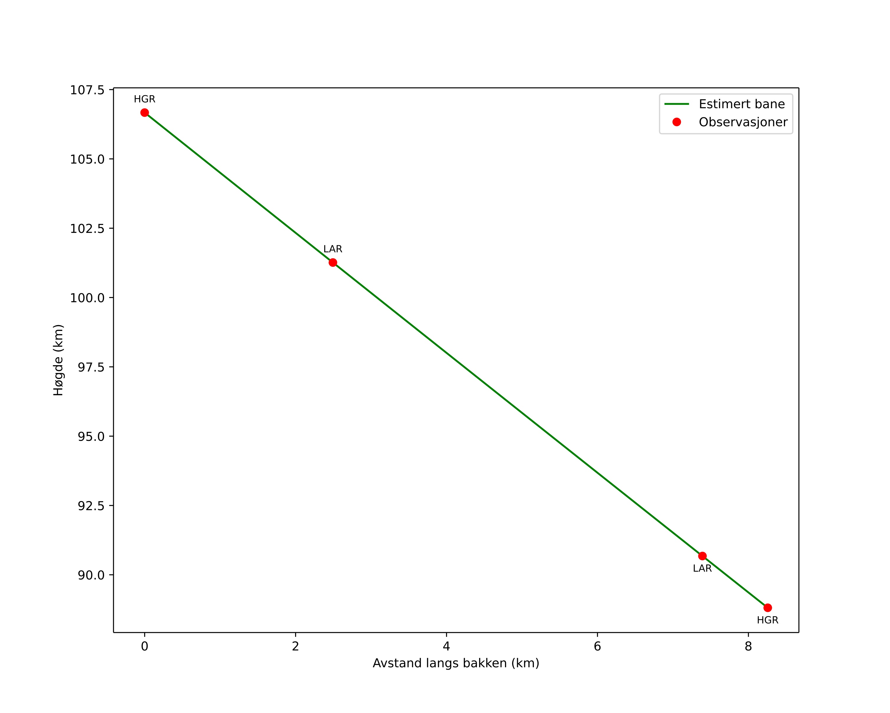
Atmosférická dráha meteoru:
| Počátečnà výška: | 106,5 km |
| Konečná výška: | 88,4 km |
| Počátečnà poloha: | 60,105N 9,878E |
| Konečná poloha: | 60,097N 9,728E |
| Směr: | 264,5° |
| Sklon: | 65,2° |
| VstupnĂ rychlost: | 63,7 km/s |
| Rektascenze radiantu: | 03:26 (51,5°) |
| Deklinace radiantu: | 53,6° |
| MeteorickĂ˝ roj: | sporadickĂ˝ |
|
Elementy dráhy meteoroidu:
| Vzdálenost v periheliu: | 0,990 AU |
| Excentricita: | 0,974 |
| Sklon dráhy: | 122,8° |
| Délka vzestupného uzlu: | 159,5° |
| Argument perihelia: | 195,9° |
| Střednà anomálie: | 360,0° |
| Epocha: | 2025 SEP 02 01:03:53 |
|