🇳🇴 🇬🇧 🇩🇪 🇨🇿 🇫🇮

Meteor over Skui 2025-09-02 02:15:26 UTC

KML-fil  |  Interaktivt kart

Kartet viser peilingene for meteoren. De lysere linjene viser retningene fra observasjonsstedene for meteorens tilsynekomst, og de mørkere linjene viser hvor den sist kunne sees. Den blå pila viser meteorens synlige ferd.

static map
height profile
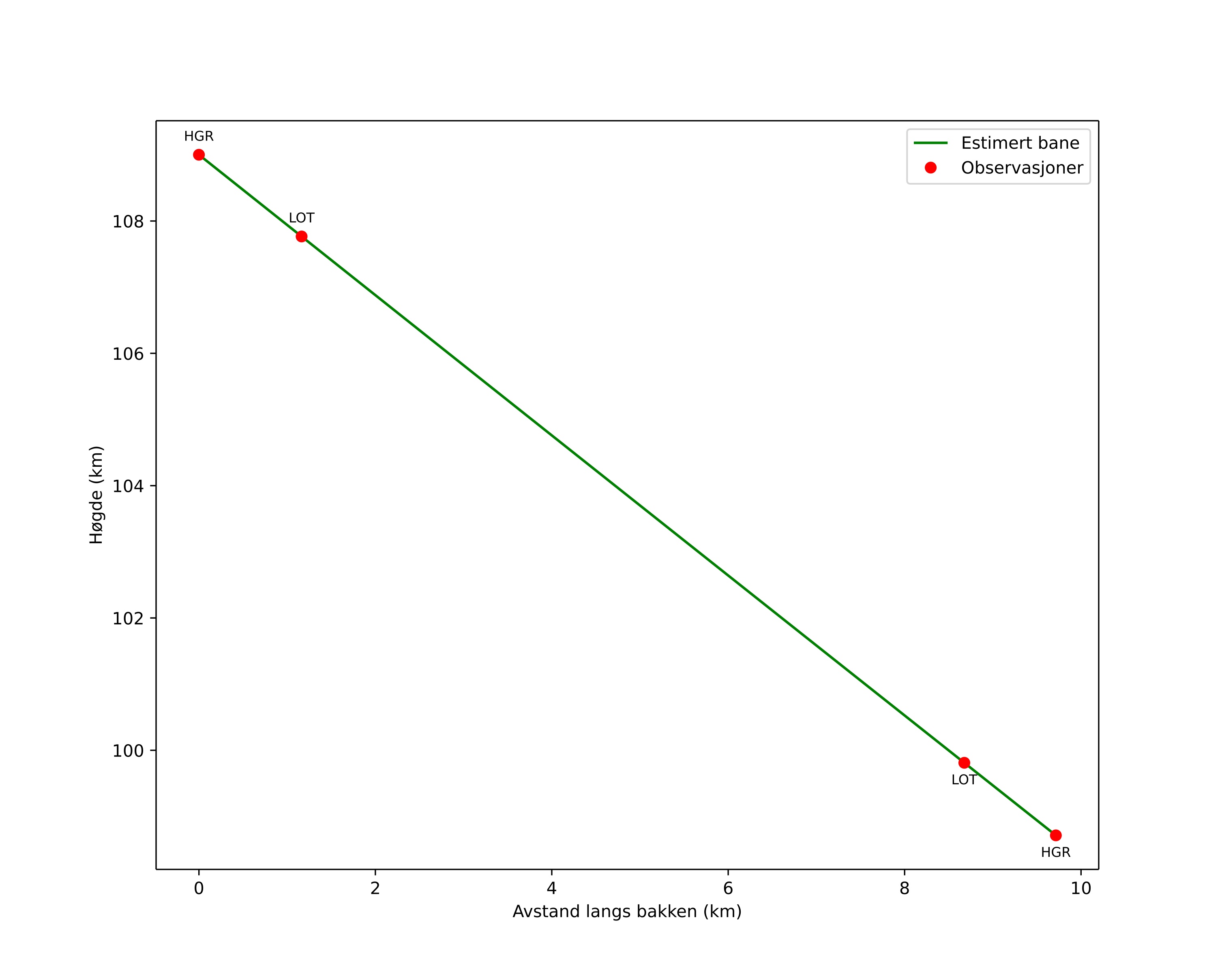
Meteorens atmosfæriske bane:
Starthøgde: 108,5 km
Slutthøgde: 99,3 km
Startposisjon: 59,959N 10,645E
Sluttposisjon: 59,999N 10,498E
Retning: 298,6°
Fallvinkel: 44,6°
Inngangshastighet: 73,0 km/s
Radiantens rektascensjon: 04:37 (69,5°)
Radiantens deklinasjon: 25,6°
Meteorsverm: sporadisk
Meteoroidens baneelement:
Perihelavstand: 1,007 AU
Eksentrisitet: 1,063
Inklinasjon: 174,1°
Knutelengde: 159,5°
Perihelargument: 174,6°
Midlere anomali: 0,1°
Epoke: 2025 SEP 02 02:15:26
orbit plot

Ikke-interaktivt plott | Interaktivt plott

position vs time
speed and acceleration

Hagar (HGR) cam6


gnomonic
Videoer
• Gnomonisk
• Gnomonisk med koordinater
• Original
• Original med koordinater
Bilder
• Gnomonisk
• Gnomonisk med koordinater
• Original
• Original med koordinater
Tekstfiler
• Deteksjon
• Observasjon
• Koordinater
• Logg
Lysstyrke

Loten (LOT) cam4


gnomonic
Videoer
• Gnomonisk
• Gnomonisk med koordinater
• Original
• Original med koordinater
Bilder
• Gnomonisk
• Gnomonisk med koordinater
• Original
• Original med koordinater
Tekstfiler
• Deteksjon
• Observasjon
• Koordinater
• Logg
Lysstyrke