🇳🇴 🇬🇧 🇩🇪 🇨🇿 🇫🇮

Meteor over Innbygda 2025-09-07 01:17:38 UTC

KML-fil  |  Interaktivt kart

Kartet viser peilingene for meteoren. De lysere linjene viser retningene fra observasjonsstedene for meteorens tilsynekomst, og de mørkere linjene viser hvor den sist kunne sees. Den blå pila viser meteorens synlige ferd.

static map
height profile
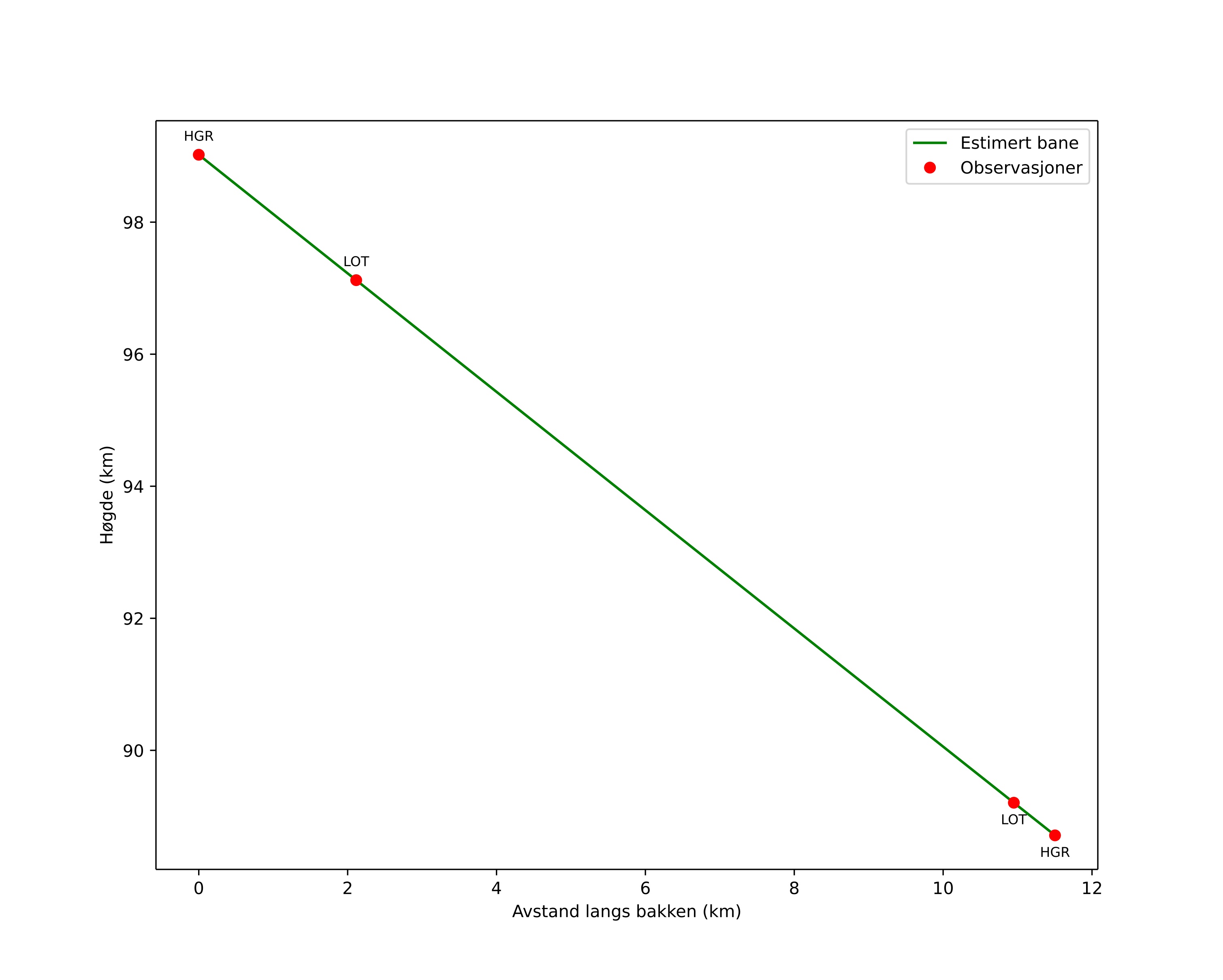
Meteorens atmosfæriske bane:
Starthøgde: 99,0 km
Slutthøgde: 88,5 km
Startposisjon: 61,213N 12,155E
Sluttposisjon: 61,107N 12,140E
Retning: 183,9°
Fallvinkel: 41,8°
Inngangshastighet: 39,9 km/s
Radiantens rektascensjon: 12:40 (190,2°)
Radiantens deklinasjon: 69,6°
Meteorsverm: sporadisk
Meteoroidens baneelement:
Perihelavstand: 0,882 AU
Eksentrisitet: 1,085
Inklinasjon: 57,7°
Knutelengde: 164,3°
Perihelargument: 139,5°
Midlere anomali: 0,8°
Epoke: 2025 SEP 07 01:17:38
orbit plot

Ikke-interaktivt plott | Interaktivt plott

position vs time
speed and acceleration

Hagar (HGR) cam3


gnomonic
Videoer
• Gnomonisk
• Gnomonisk med koordinater
• Original
• Original med koordinater
Bilder
• Gnomonisk
• Gnomonisk med koordinater
• Original
• Original med koordinater
Tekstfiler
• Deteksjon
• Observasjon
• Koordinater
• Logg
Lysstyrke

Loten (LOT) cam6


gnomonic
Videoer
• Gnomonisk
• Gnomonisk med koordinater
• Original
• Original med koordinater
Bilder
• Gnomonisk
• Gnomonisk med koordinater
• Original
• Original med koordinater
Tekstfiler
• Deteksjon
• Observasjon
• Koordinater
• Logg
Lysstyrke