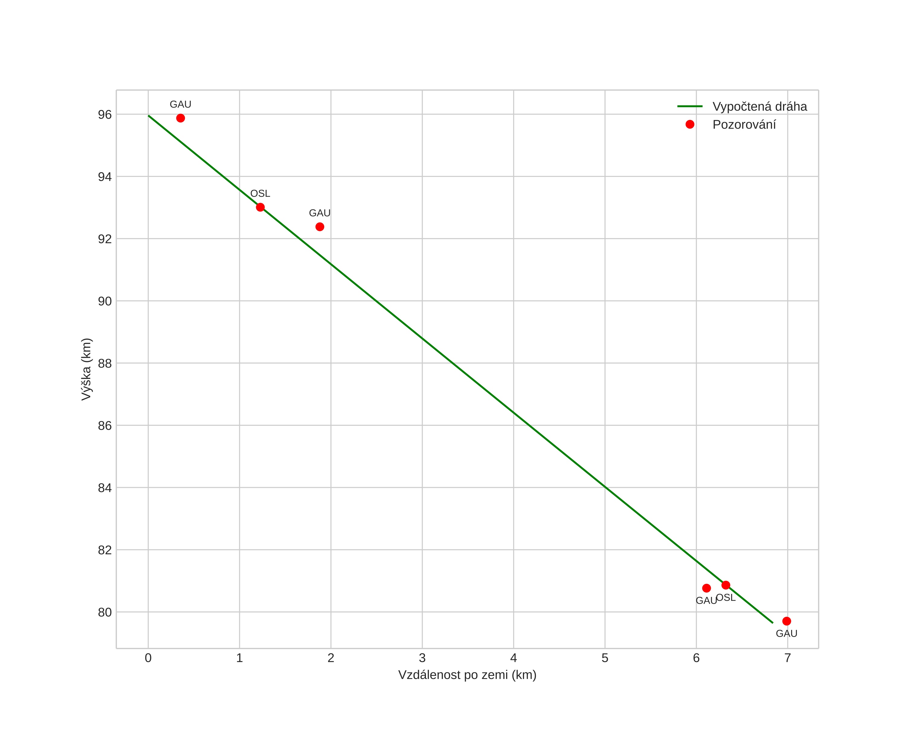
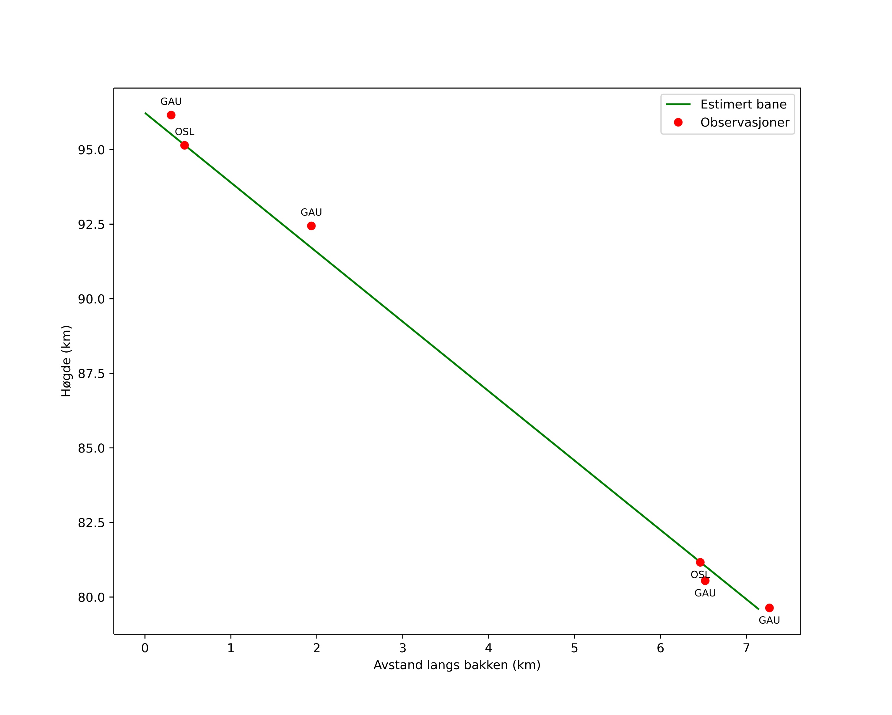
Atmosférická dráha meteoru:
| Počátečnà výška: | 96,0 km |
| Konečná výška: | 79,6 km |
| Počátečnà poloha: | 59,138N 9,815E |
| Konečná poloha: | 59,197N 9,779E |
| Směr: | 342,6° |
| Sklon: | 67,4° |
| VstupnĂ rychlost: | 53,9 km/s |
| Rektascenze radiantu: | 00:28 (7,2°) |
| Deklinace radiantu: | 36,6° |
| MeteorickĂ˝ roj: | sporadickĂ˝ |
|
Elementy dráhy meteoroidu:
| Vzdálenost v periheliu: | 0,387 AU |
| Excentricita: | 1,130 |
| Sklon dráhy: | 85,5° |
| Délka vzestupného uzlu: | 165,3° |
| Argument perihelia: | 279,3° |
| Střednà anomálie: | -6,8° |
| Epocha: | 2025 SEP 08 00:09:46 |
|