🇳🇴 🇬🇧 🇩🇪 🇨🇿 🇫🇮

Meteor over Reinsvoll 2025-09-08 00:41:55 UTC

KML-fil  |  Interaktivt kart

Kartet viser peilingene for meteoren. De lysere linjene viser retningene fra observasjonsstedene for meteorens tilsynekomst, og de mørkere linjene viser hvor den sist kunne sees. Den blå pila viser meteorens synlige ferd.

static map
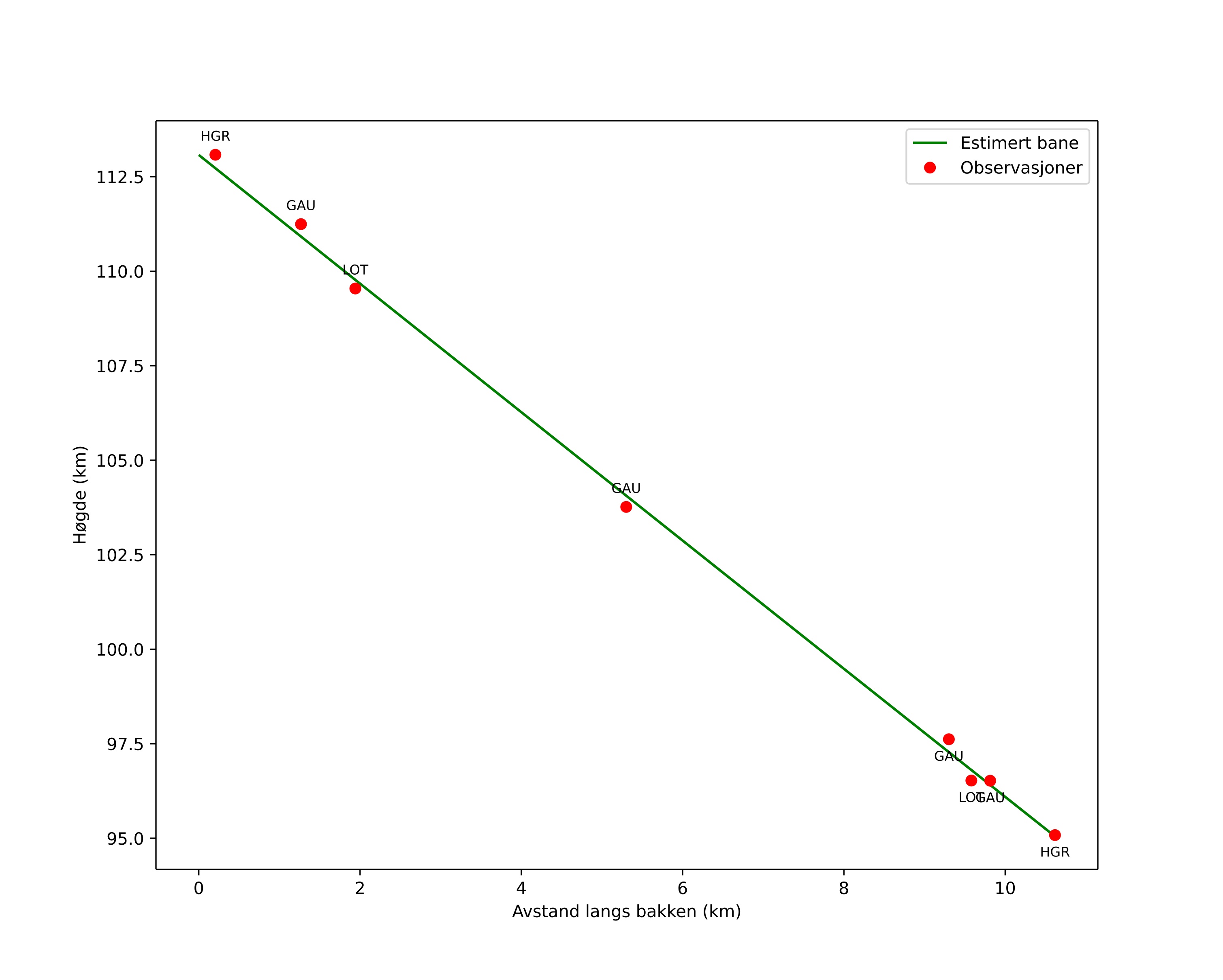
height profile
Meteorens atmosfæriske bane:
Starthøgde: 113,3 km
Slutthøgde: 95,6 km
Startposisjon: 60,542N 10,634E
Sluttposisjon: 60,602N 10,481E
Retning: 309,0°
Fallvinkel: 58,8°
Inngangshastighet: 49,8 km/s
Radiantens rektascensjon: 02:30 (37,6°)
Radiantens deklinasjon: 35,2°
Meteorsverm: sporadisk
Meteoroidens baneelement:
Perihelavstand: 0,241 AU
Eksentrisitet: 0,757
Inklinasjon: 123,5°
Knutelengde: 165,3°
Perihelargument: 320,0°
Midlere anomali: 312,2°
Epoke: 2025 SEP 08 00:41:55
orbit plot

Ikke-interaktivt plott | Interaktivt plott

position vs time
speed and acceleration

Gaustatoppen (GAU) cam2


gnomonic
Videoer
• Gnomonisk
• Gnomonisk med koordinater
• Original
• Original med koordinater
Bilder
• Gnomonisk
• Gnomonisk med koordinater
• Original
• Original med koordinater
Tekstfiler
• Deteksjon
• Observasjon
• Koordinater
• Logg
Lysstyrke

Gaustatoppen (GAU) cam6


gnomonic
Videoer
• Gnomonisk
• Gnomonisk med koordinater
• Original
• Original med koordinater
Bilder
• Gnomonisk
• Gnomonisk med koordinater
• Original
• Original med koordinater
Tekstfiler
• Deteksjon
• Observasjon
• Koordinater
• Logg
Lysstyrke

Hagar (HGR) cam7


gnomonic
Videoer
• Gnomonisk
• Gnomonisk med koordinater
• Original
• Original med koordinater
Bilder
• Gnomonisk
• Gnomonisk med koordinater
• Original
• Original med koordinater
Tekstfiler
• Deteksjon
• Observasjon
• Koordinater
• Logg
Lysstyrke

Loten (LOT) cam7


gnomonic
Videoer
• Gnomonisk
• Gnomonisk med koordinater
• Original
• Original med koordinater
Bilder
• Gnomonisk
• Gnomonisk med koordinater
• Original
• Original med koordinater
Tekstfiler
• Deteksjon
• Observasjon
• Koordinater
• Logg
Lysstyrke