🇳🇴 🇬🇧 🇩🇪 🇨🇿 🇫🇮

Meteor, poloha: Bagn 2025-09-08 02:16:12 UTC

Soubor KML  |  InteraktivnĂ­ mapa

Mapa zobrazuje dráhy meteoru. Světlejší čáry ukazují směry od pozorovacích stanic při objevení se meteoru a tmavší čáry, kde byl naposledy viděn. Modrá šipka značí viditelnou dráhu meteoru.

static map
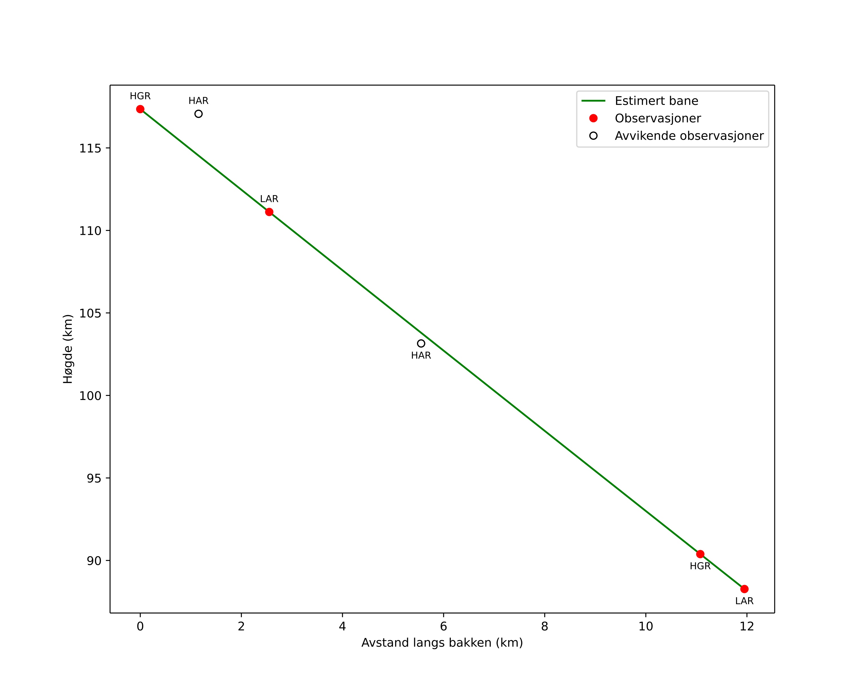
height profile
Atmosférická dráha meteoru:
Počáteční výška: 120,4 km
Konečná výška: 88,4 km
Počáteční poloha: 60,587N 9,655E
Konečná poloha: 60,691N 9,526E
Směr: 328,7°
Sklon: 67,0°
VstupnĂ­ rychlost: 65,6 km/s
Rektascenze radiantu: 03:02 (45,6°)
Deklinace radiantu: 39,3°
MeteorickĂ˝ roj: september-epsilon-perseidene
Elementy dráhy meteoroidu:
Vzdálenost v periheliu: 0,728 AU
Excentricita: 0,979
Sklon dráhy: 138,9°
Délka vzestupného uzlu: 165,3°
Argument perihelia: 243,9°
Střední anomálie: 359,8°
Epocha: 2025 SEP 08 02:16:12
orbit plot

NeinteraktivnĂ­ graf | InteraktivnĂ­ graf

position vs time
speed and acceleration

Hagar (HGR) cam7


gnomonic
Videa
• Gnomonická
• Gnomonická se souřadnicemi
• Původní
• Původní se souřadnicemi
Obrázky
• Gnomonická
• Gnomonická se souřadnicemi
• Původní
• Původní se souřadnicemi
Textové soubory
• Detekce
• Pozorování
• Souřadnice
• Protokol
Jasnost

Harestua (HAR) cam6


gnomonic
Videa
• Gnomonická
• Gnomonická se souřadnicemi
• Původní
• Původní se souřadnicemi
Obrázky
• Gnomonická
• Gnomonická se souřadnicemi
• Původní
• Původní se souřadnicemi
Textové soubory
• Detekce
• Pozorování
• Souřadnice
• Protokol
Jasnost

Larvik (LAR) cam1


gnomonic
Videa
• Gnomonická
• Gnomonická se souřadnicemi
• Původní
• Původní se souřadnicemi
Obrázky
• Gnomonická
• Gnomonická se souřadnicemi
• Původní
• Původní se souřadnicemi
Textové soubory
• Detekce
• Pozorování
• Souřadnice
• Protokol
Jasnost