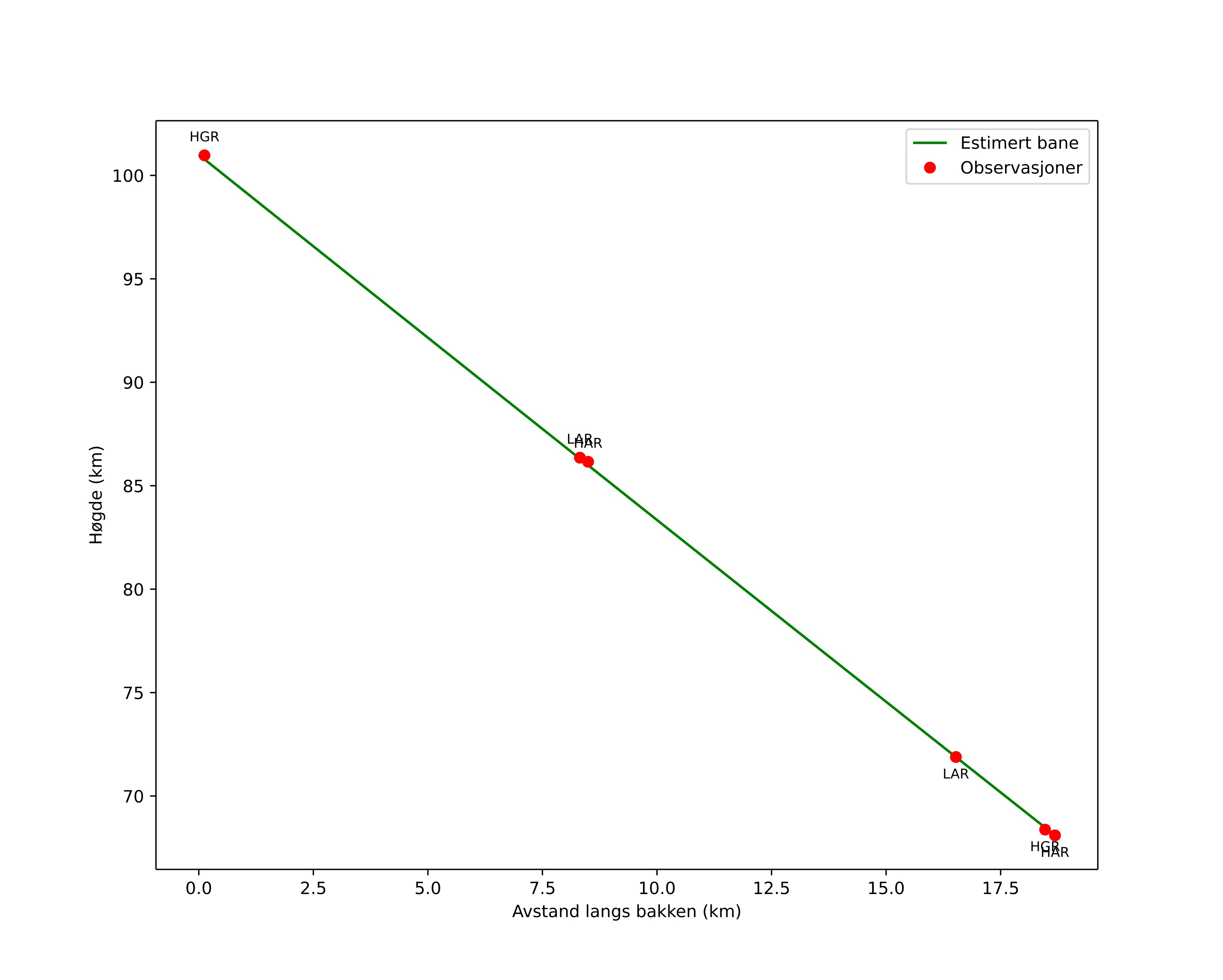
Atmosférická dráha meteoru:
| Počátečnà výška: | 102,4 km |
| Konečná výška: | 68,2 km |
| Počátečnà poloha: | 61,551N 10,920E |
| Konečná poloha: | 61,394N 10,787E |
| Směr: | 202,1° |
| Sklon: | 61,2° |
| VstupnĂ rychlost: | 69,9 km/s |
| Rektascenze radiantu: | 03:37 (54,4°) |
| Deklinace radiantu: | 79,5° |
| MeteorickĂ˝ roj: | sporadickĂ˝ |
|
Elementy dráhy meteoroidu:
| Vzdálenost v periheliu: | 1,002 AU |
| Excentricita: | 2,910 |
| Sklon dráhy: | 97,2° |
| Délka vzestupného uzlu: | 173,9° |
| Argument perihelia: | 185,1° |
| Střednà anomálie: | -6,8° |
| Epocha: | 2025 SEP 16 21:44:19 |
|