🇳🇴 🇬🇧 🇩🇪 🇨🇿 🇫🇮

Meteor over Ã…mli 2025-09-19 01:10:54 UTC

KML-fil  |  Interaktivt kart

Kartet viser peilingene for meteoren. De lysere linjene viser retningene fra observasjonsstedene for meteorens tilsynekomst, og de mørkere linjene viser hvor den sist kunne sees. Den blå pila viser meteorens synlige ferd.

static map
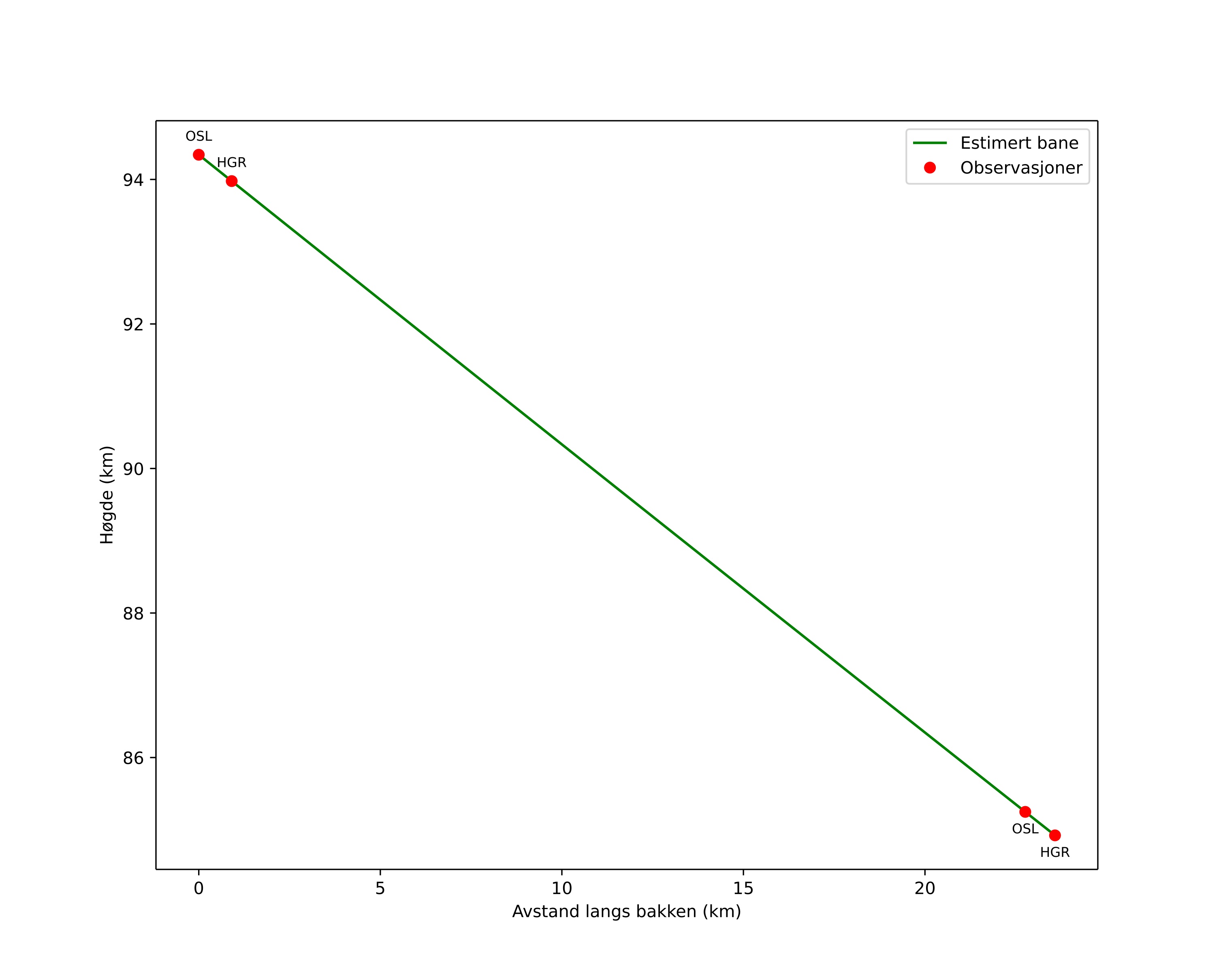
height profile
Meteorens atmosfæriske bane:
Starthøgde: 95,7 km
Slutthøgde: 86,6 km
Startposisjon: 58,776N 8,776E
Sluttposisjon: 58,891N 8,439E
Retning: 303,5°
Fallvinkel: 21,4°
Inngangshastighet: 65,3 km/s
Radiantens rektascensjon: 05:01 (75,4°)
Radiantens deklinasjon: 2,1°
Meteorsverm: sporadisk
Meteoroidens baneelement:
Perihelavstand: 0,883 AU
Eksentrisitet: 0,756
Inklinasjon: 142,3°
Knutelengde: 356,0°
Perihelargument: 44,1°
Midlere anomali: 355,6°
Epoke: 2025 SEP 19 01:10:54
orbit plot

Ikke-interaktivt plott | Interaktivt plott

position vs time
speed and acceleration

Hagar (HGR) cam5


gnomonic
Videoer
• Gnomonisk
• Gnomonisk med koordinater
• Original
• Original med koordinater
Bilder
• Gnomonisk
• Gnomonisk med koordinater
• Original
• Original med koordinater
Tekstfiler
• Deteksjon
• Observasjon
• Koordinater
• Logg
Lysstyrke

Voksenlia (OSL) cam3


gnomonic
Videoer
• Gnomonisk
• Gnomonisk med koordinater
• Original
• Original med koordinater
Bilder
• Gnomonisk
• Gnomonisk med koordinater
• Original
• Original med koordinater
Tekstfiler
• Deteksjon
• Observasjon
• Koordinater
• Logg
Lysstyrke