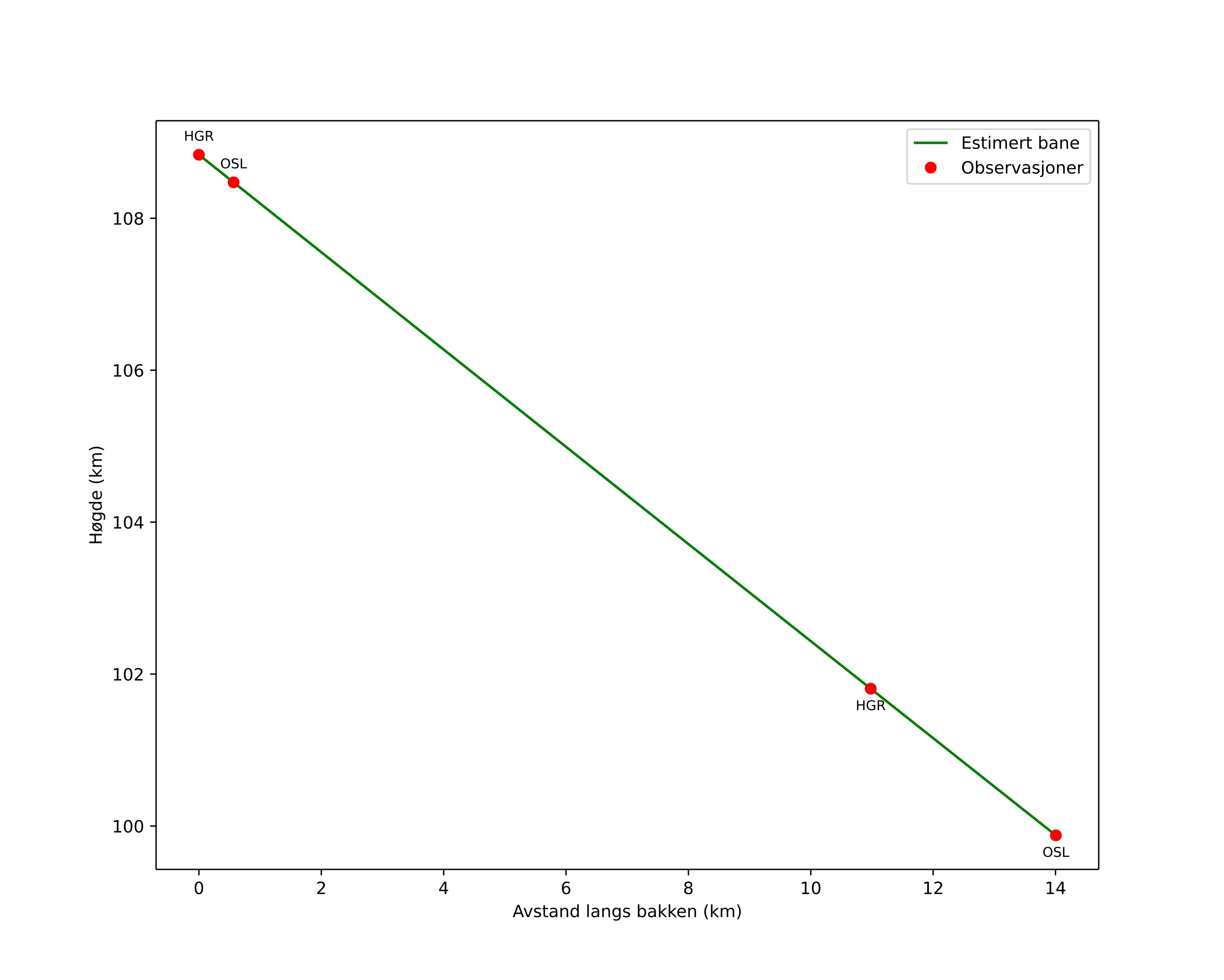
Atmosférická dráha meteoru:
| Počátečnà výška: | 114,2 km |
| Konečná výška: | 95,2 km |
| Počátečnà poloha: | 61,369N 5,855E |
| Konečná poloha: | 61,651N 5,595E |
| Směr: | 336,3° |
| Sklon: | 29,0° |
| VstupnĂ rychlost: | 67,2 km/s |
| Rektascenze radiantu: | 04:21 (65,3°) |
| Deklinace radiantu: | 1,8° |
| MeteorickĂ˝ roj: | sporadickĂ˝ |
|
Elementy dráhy meteoroidu:
| Vzdálenost v periheliu: | 0,698 AU |
| Excentricita: | 1,073 |
| Sklon dráhy: | 142,0° |
| Délka vzestupného uzlu: | 356,1° |
| Argument perihelia: | 65,8° |
| Střednà anomálie: | -1,2° |
| Epocha: | 2025 SEP 19 02:44:25 |
|