🇳🇴 🇬🇧 🇩🇪 🇨🇿 🇫🇮

Meteor over Revetal 2025-09-21 21:09:57 UTC

KML-fil  |  Interaktivt kart

Kartet viser peilingene for meteoren. De lysere linjene viser retningene fra observasjonsstedene for meteorens tilsynekomst, og de mørkere linjene viser hvor den sist kunne sees. Den blå pila viser meteorens synlige ferd.

static map
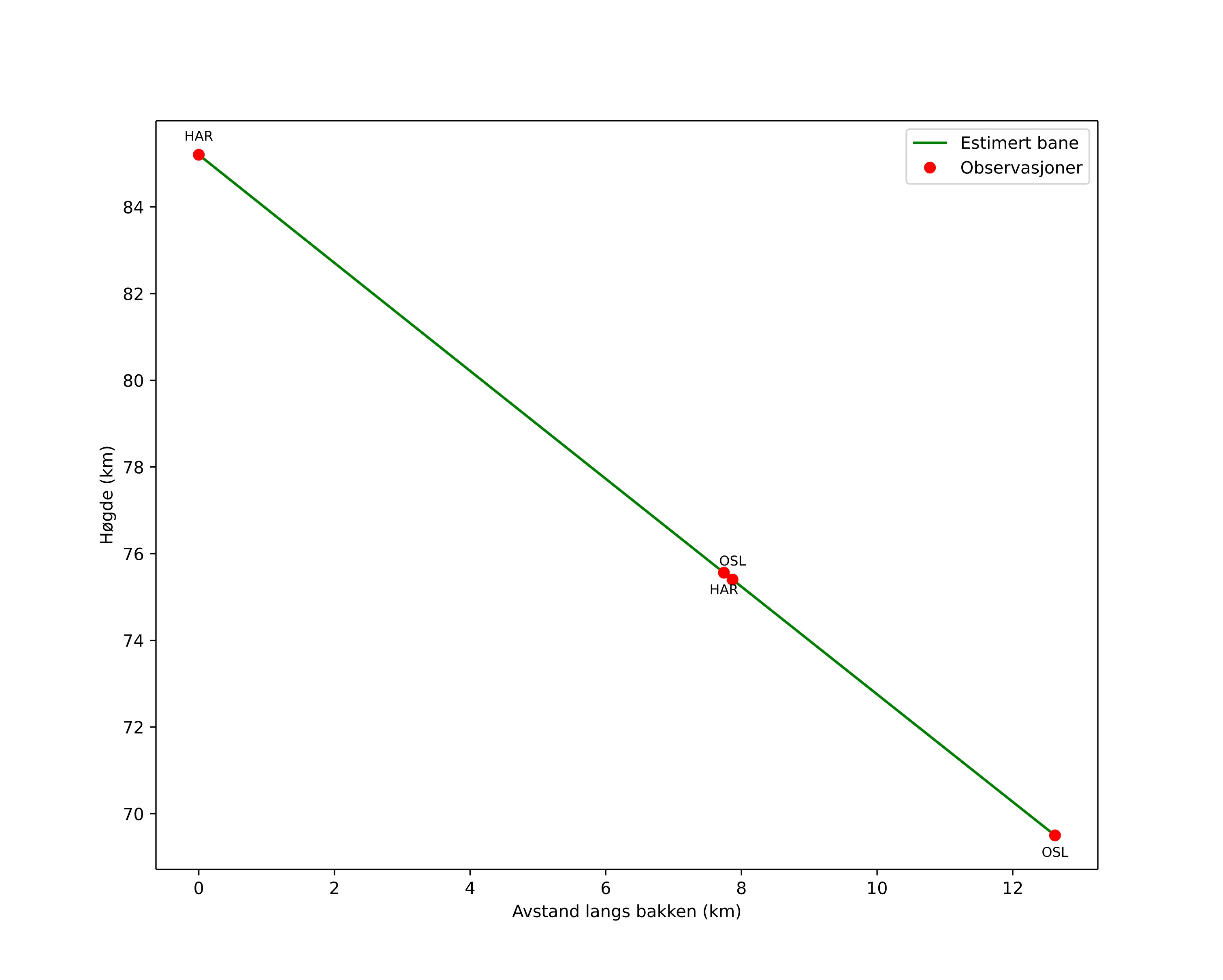
height profile
Meteorens atmosfæriske bane:
Starthøgde: 76,4 km
Slutthøgde: 62,6 km
Startposisjon: 59,256N 10,301E
Sluttposisjon: 59,349N 10,226E
Retning: 337,6°
Fallvinkel: 51,2°
Inngangshastighet: 24,0 km/s
Radiantens rektascensjon: 22:52 (343,2°)
Radiantens deklinasjon: 19,4°
Meteorsverm: sporadisk
Meteoroidens baneelement:
Perihelavstand: 0,697 AU
Eksentrisitet: 0,771
Inklinasjon: 15,5°
Knutelengde: 178,8°
Perihelargument: 252,7°
Midlere anomali: 352,2°
Epoke: 2025 SEP 21 21:09:57
orbit plot

Ikke-interaktivt plott | Interaktivt plott

position vs time
speed and acceleration

Harestua (HAR) cam3


gnomonic
Videoer
• Gnomonisk
• Gnomonisk med koordinater
• Original
• Original med koordinater
Bilder
• Gnomonisk
• Gnomonisk med koordinater
• Original
• Original med koordinater
Tekstfiler
• Deteksjon
• Observasjon
• Koordinater
• Logg
Lysstyrke

Voksenlia (OSL) cam3


gnomonic
Videoer
• Gnomonisk
• Gnomonisk med koordinater
• Original
• Original med koordinater
Bilder
• Gnomonisk
• Gnomonisk med koordinater
• Original
• Original med koordinater
Tekstfiler
• Deteksjon
• Observasjon
• Koordinater
• Logg
Lysstyrke