🇳🇴 🇬🇧 🇩🇪 🇨🇿 🇫🇮

Meteor over Stavern 2025-09-21 23:14:59 UTC

KML-fil  |  Interaktivt kart

Kartet viser peilingene for meteoren. De lysere linjene viser retningene fra observasjonsstedene for meteorens tilsynekomst, og de mørkere linjene viser hvor den sist kunne sees. Den blå pila viser meteorens synlige ferd.

static map
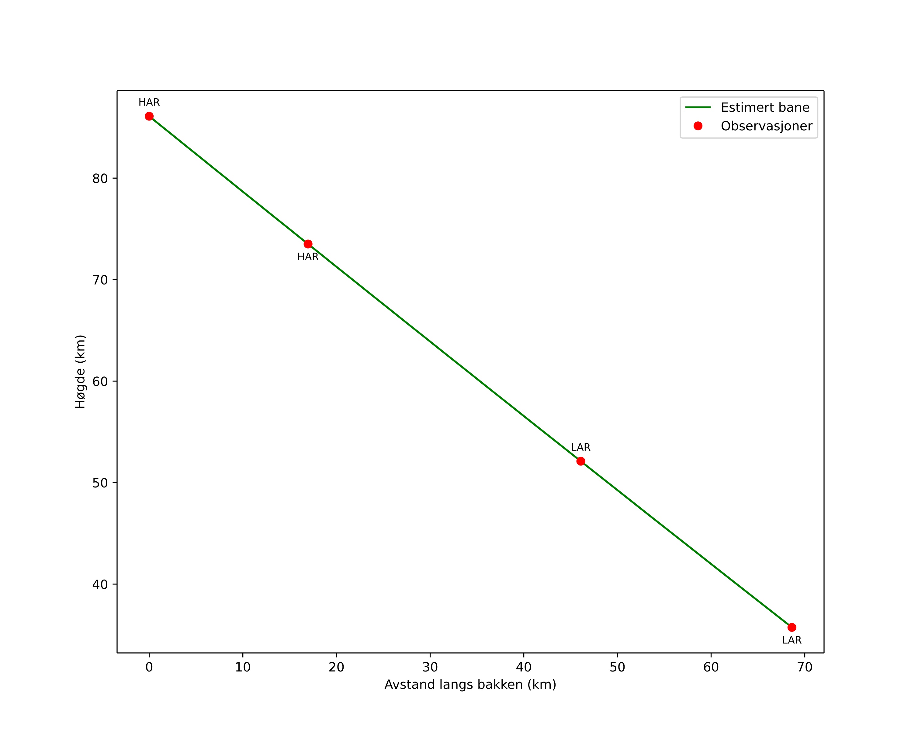
height profile
Meteorens atmosfæriske bane:
Starthøgde: 86,3 km
Slutthøgde: 35,7 km
Startposisjon: 57,846N 10,578E
Sluttposisjon: 58,426N 10,154E
Retning: 339,1°
Fallvinkel: 36,2°
Inngangshastighet: 88,6 km/s
Radiantens rektascensjon: 01:06 (16,7°)
Radiantens deklinasjon: 5,2°
Meteorsverm: sporadisk
Meteoroidens baneelement:
Perihelavstand: 0,006 AU
Eksentrisitet: 1,034
Inklinasjon: 55,7°
Knutelengde: 358,9°
Perihelargument: 163,0°
Midlere anomali: -245,3°
Epoke: 2025 SEP 21 23:14:59
orbit plot

Ikke-interaktivt plott | Interaktivt plott

position vs time
speed and acceleration

Harestua (HAR) cam3


gnomonic
Videoer
• Gnomonisk
• Gnomonisk med koordinater
• Original
• Original med koordinater
Bilder
• Gnomonisk
• Gnomonisk med koordinater
• Original
• Original med koordinater
Tekstfiler
• Deteksjon
• Observasjon
• Koordinater
• Logg
Lysstyrke

Larvik (LAR) cam4


gnomonic
Videoer
• Gnomonisk
• Gnomonisk med koordinater
• Original
• Original med koordinater
Bilder
• Gnomonisk
• Gnomonisk med koordinater
• Original
• Original med koordinater
Tekstfiler
• Deteksjon
• Observasjon
• Koordinater
• Logg
Lysstyrke