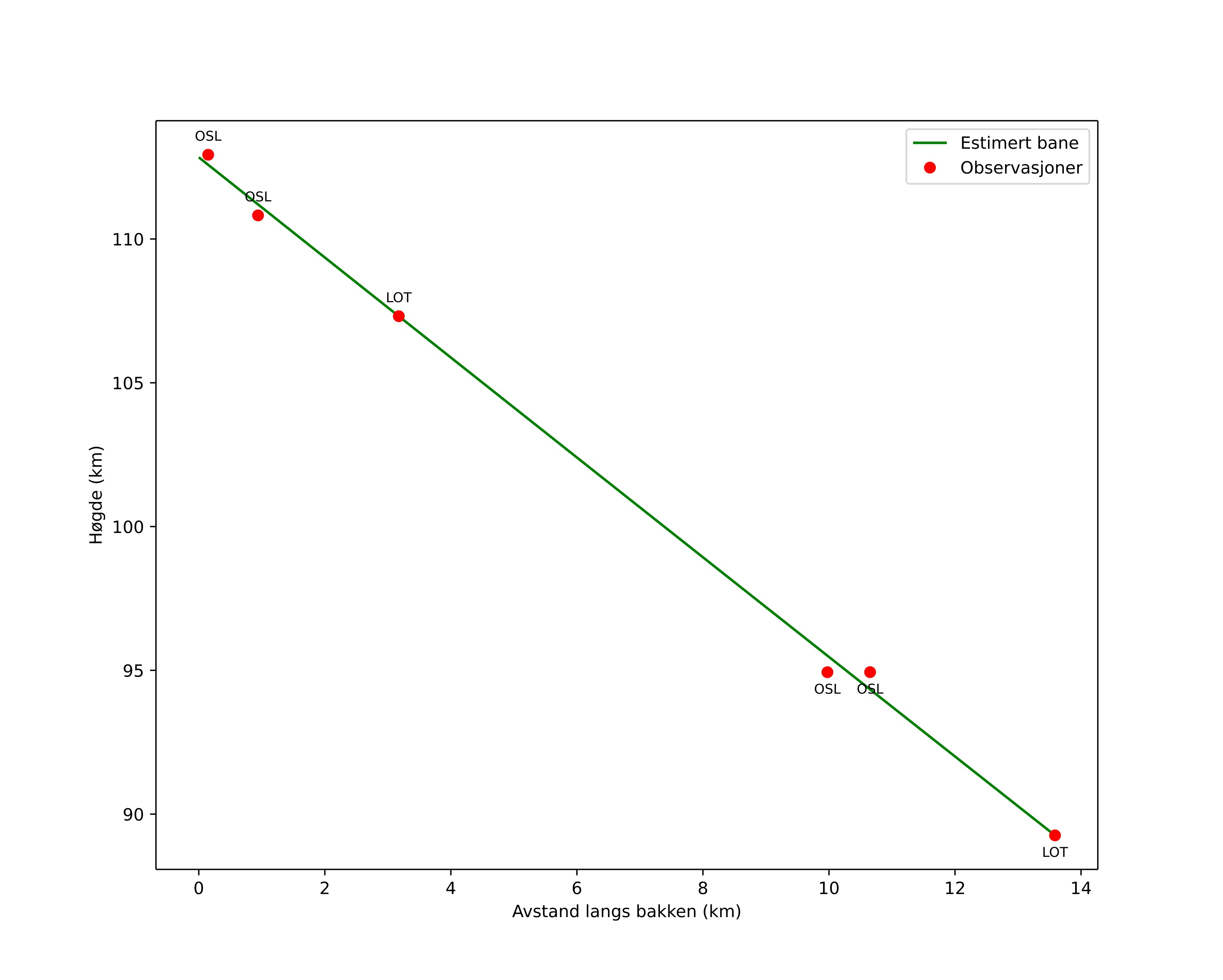
Atmosférická dráha meteoru:
| Počátečnà výška: | 113,1 km |
| Konečná výška: | 87,3 km |
| Počátečnà poloha: | 60,556N 12,202E |
| Konečná poloha: | 60,590N 11,933E |
| Směr: | 284,5° |
| Sklon: | 59,6° |
| VstupnĂ rychlost: | 67,3 km/s |
| Rektascenze radiantu: | 03:39 (54,9°) |
| Deklinace radiantu: | 43,2° |
| MeteorickĂ˝ roj: | september-epsilon-perseidene |
|
Elementy dráhy meteoroidu:
| Vzdálenost v periheliu: | 0,671 AU |
| Excentricita: | 1,210 |
| Sklon dráhy: | 134,1° |
| Délka vzestupného uzlu: | 178,9° |
| Argument perihelia: | 246,8° |
| Střednà anomálie: | -5,8° |
| Epocha: | 2025 SEP 21 23:58:41 |
|