🇳🇴 🇬🇧 🇩🇪 🇨🇿 🇫🇮

Meteor over Dokka 2025-09-22 01:21:06 UTC

KML-fil  |  Interaktivt kart

Kartet viser peilingene for meteoren. De lysere linjene viser retningene fra observasjonsstedene for meteorens tilsynekomst, og de mørkere linjene viser hvor den sist kunne sees. Den blå pila viser meteorens synlige ferd.

static map
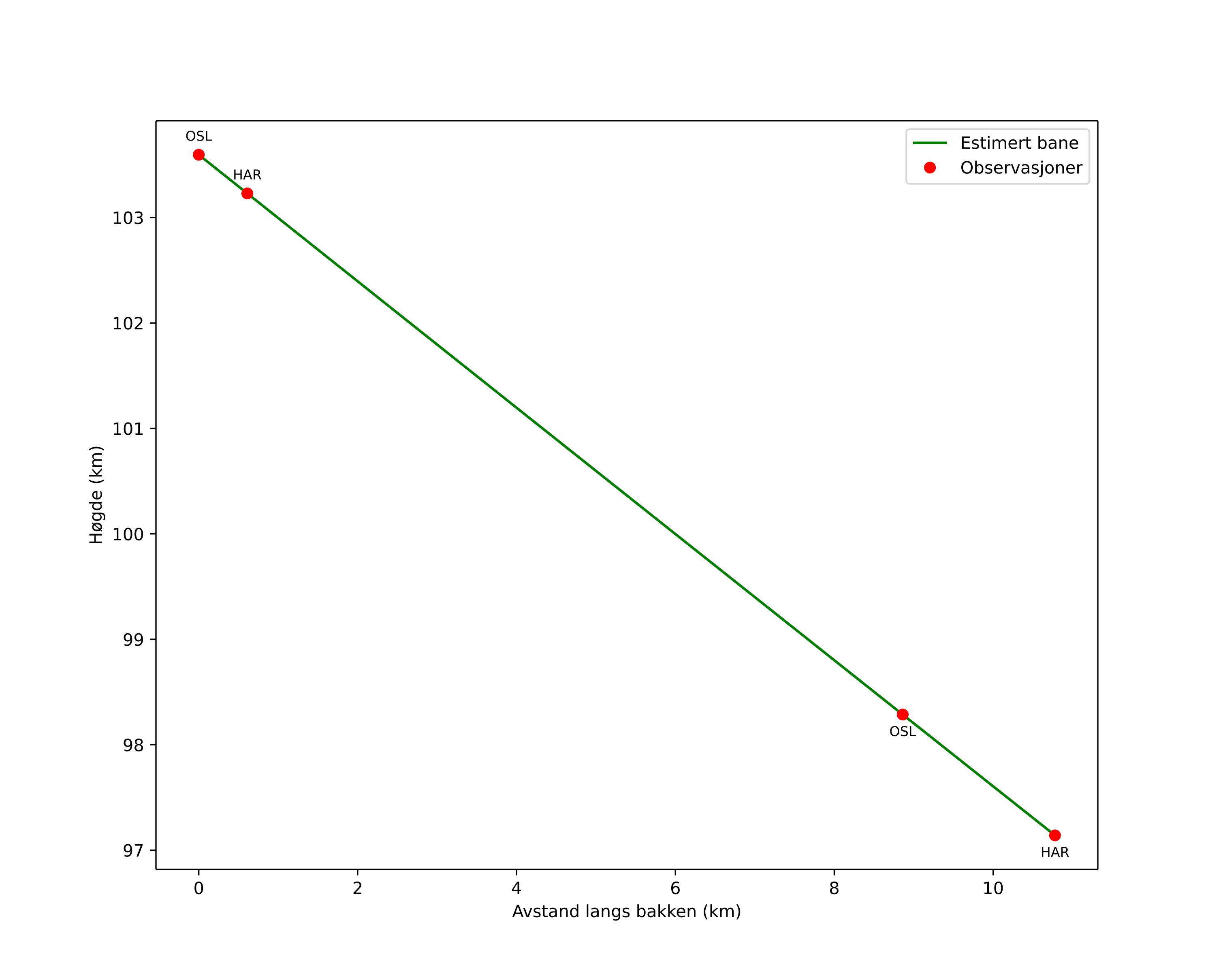
height profile
Meteorens atmosfæriske bane:
Starthøgde: 105,3 km
Slutthøgde: 97,3 km
Startposisjon: 61,072N 10,278E
Sluttposisjon: 61,003N 10,096E
Retning: 232,2°
Fallvinkel: 32,7°
Inngangshastighet: 66,2 km/s
Radiantens rektascensjon: 09:09 (137,5°)
Radiantens deklinasjon: 46,1°
Meteorsverm: sporadisk
Meteoroidens baneelement:
Perihelavstand: 0,583 AU
Eksentrisitet: 1,383
Inklinasjon: 117,9°
Knutelengde: 179,0°
Perihelargument: 106,1°
Midlere anomali: 16,9°
Epoke: 2025 SEP 22 01:21:06
orbit plot

Ikke-interaktivt plott | Interaktivt plott

position vs time
speed and acceleration

Harestua (HAR) cam6


gnomonic
Videoer
• Gnomonisk
• Gnomonisk med koordinater
• Original
• Original med koordinater
Bilder
• Gnomonisk
• Gnomonisk med koordinater
• Original
• Original med koordinater
Tekstfiler
• Deteksjon
• Observasjon
• Koordinater
• Logg
Lysstyrke

Voksenlia (OSL) cam1


gnomonic
Videoer
• Gnomonisk
• Gnomonisk med koordinater
• Original
• Original med koordinater
Bilder
• Gnomonisk
• Gnomonisk med koordinater
• Original
• Original med koordinater
Tekstfiler
• Deteksjon
• Observasjon
• Koordinater
• Logg
Lysstyrke