🇳🇴 🇬🇧 🇩🇪 🇨🇿 🇫🇮

Meteor over Hovden 2025-09-22 19:08:58 UTC

KML-fil  |  Interaktivt kart

Kartet viser peilingene for meteoren. De lysere linjene viser retningene fra observasjonsstedene for meteorens tilsynekomst, og de mørkere linjene viser hvor den sist kunne sees. Den blå pila viser meteorens synlige ferd.

static map
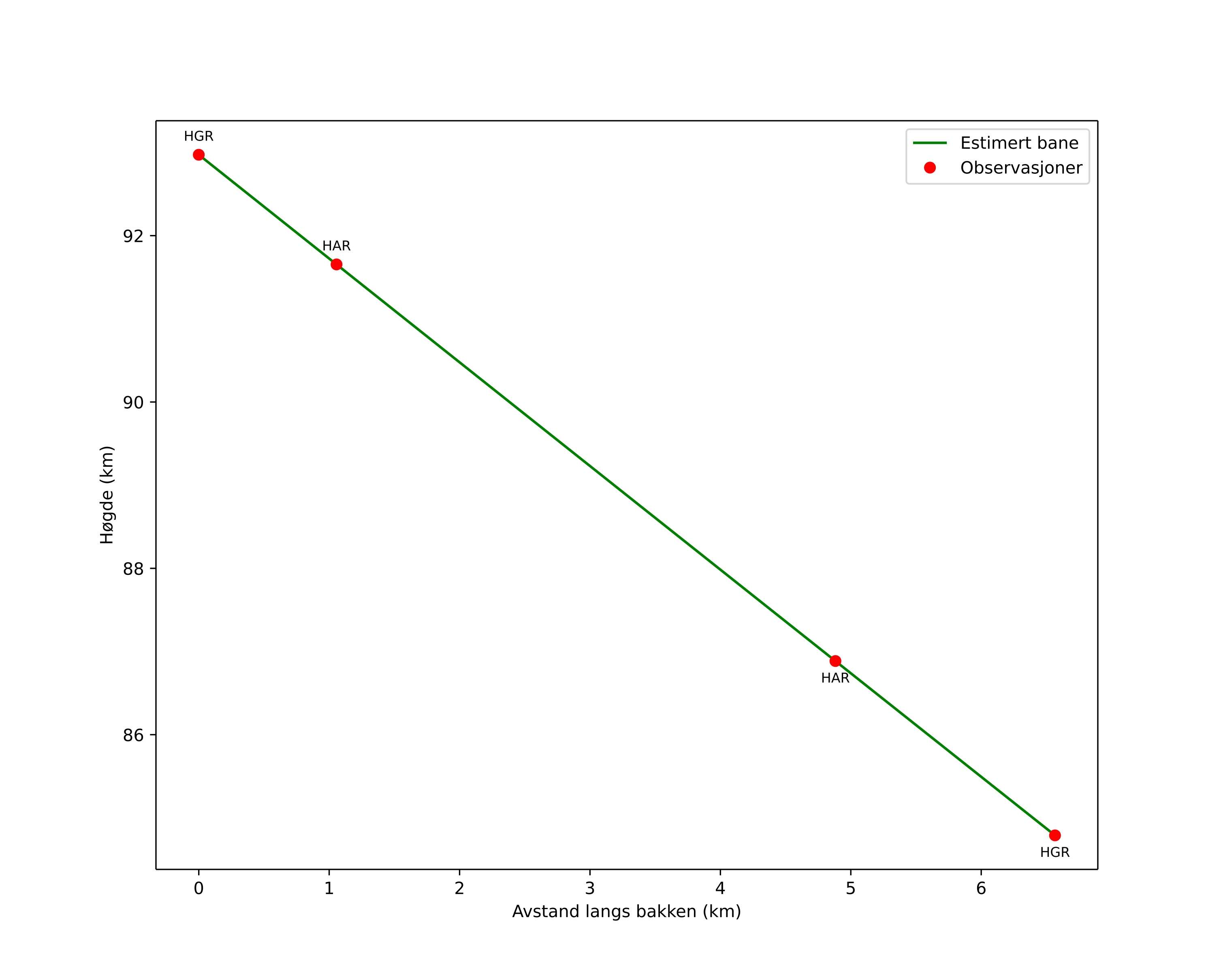
height profile
Meteorens atmosfæriske bane:
Starthøgde: 93,5 km
Slutthøgde: 84,4 km
Startposisjon: 59,951N 7,639E
Sluttposisjon: 59,926N 7,546E
Retning: 241,9°
Fallvinkel: 57,0°
Inngangshastighet: 26,9 km/s
Radiantens rektascensjon: 00:23 (6,0°)
Radiantens deklinasjon: 58,1°
Meteorsverm: sporadisk
Meteoroidens baneelement:
Perihelavstand: 0,589 AU
Eksentrisitet: 0,438
Inklinasjon: 42,4°
Knutelengde: 179,7°
Perihelargument: 290,8°
Midlere anomali: 300,6°
Epoke: 2025 SEP 22 19:08:58
orbit plot

Ikke-interaktivt plott | Interaktivt plott

position vs time
speed and acceleration

Hagar (HGR) cam1


gnomonic
Videoer
• Gnomonisk
• Gnomonisk med koordinater
• Original
• Original med koordinater
Bilder
• Gnomonisk
• Gnomonisk med koordinater
• Original
• Original med koordinater
Tekstfiler
• Deteksjon
• Observasjon
• Koordinater
• Logg
Lysstyrke

Harestua (HAR) cam5


gnomonic
Videoer
• Gnomonisk
• Gnomonisk med koordinater
• Original
• Original med koordinater
Bilder
• Gnomonisk
• Gnomonisk med koordinater
• Original
• Original med koordinater
Tekstfiler
• Deteksjon
• Observasjon
• Koordinater
• Logg
Lysstyrke