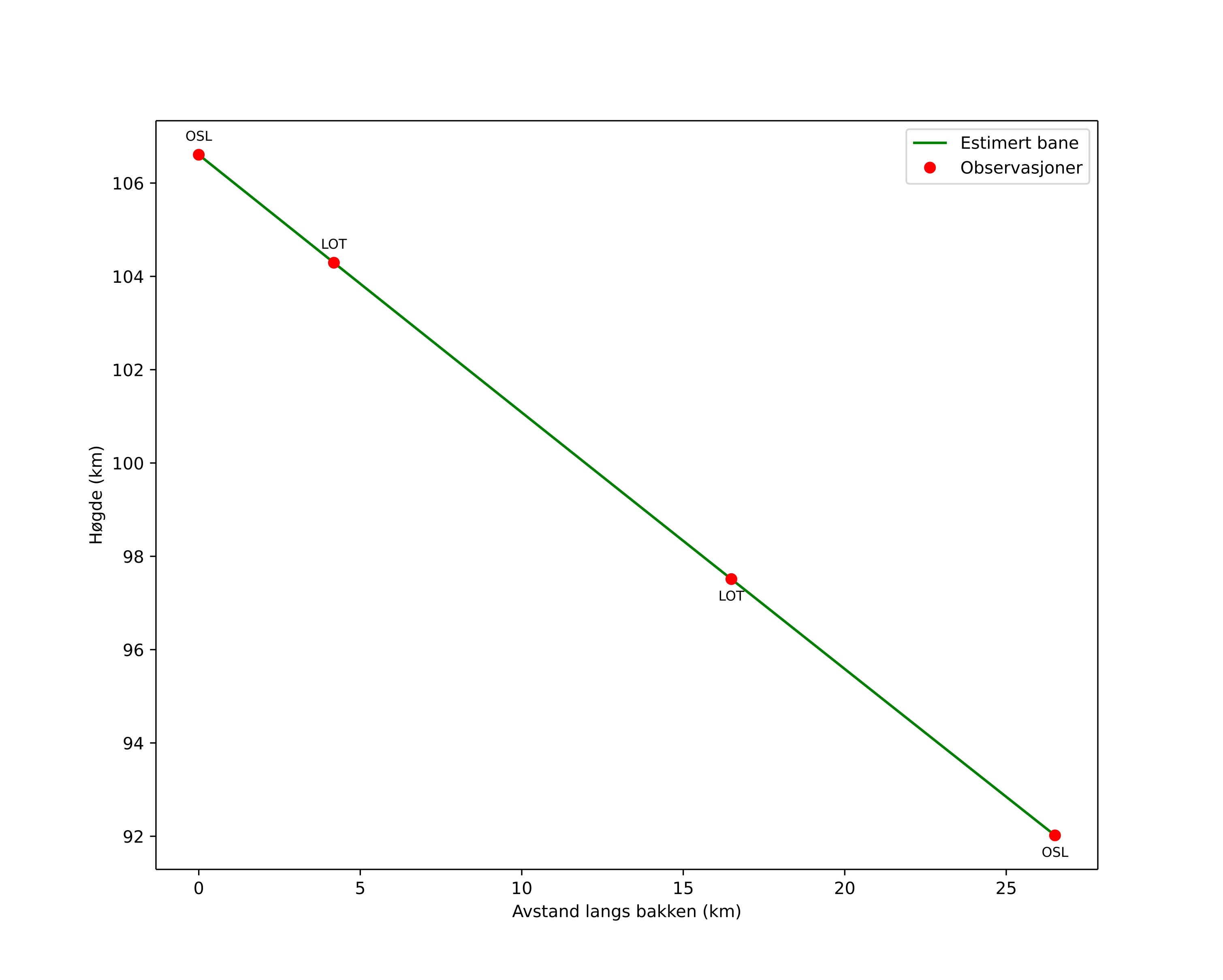
Atmosphärische Bahn des Meteors:
| Anfangshöhe: | 106,1 km |
| Endhöhe: | 99,7 km |
| Startposition: | 58,968N 12,360E |
| Endposition: | 58,900N 12,219E |
| Richtung: | 226,8° |
| Neigungswinkel: | 30,0° |
| Eintrittsgeschwindigkeit: | 60,3 km/s |
| Rektaszension des Radianten: | 08:40 (130,1°) |
| Deklination des Radianten: | 46,9° |
| Meteorstrom: | sporadisch |
|
Bahnelemente des Meteoroiden:
| Periheldistanz: | 0,588 AU |
| Exzentrizität: | 0,920 |
| Inklination: | 119,9° |
| Länge des aufsteigenden Knotens: | 179,9° |
| Argument des Perihels: | 97,8° |
| Mittlere Anomalie: | 2,0° |
| Epoche: | 2025 SEP 23 00:16:07 |
|