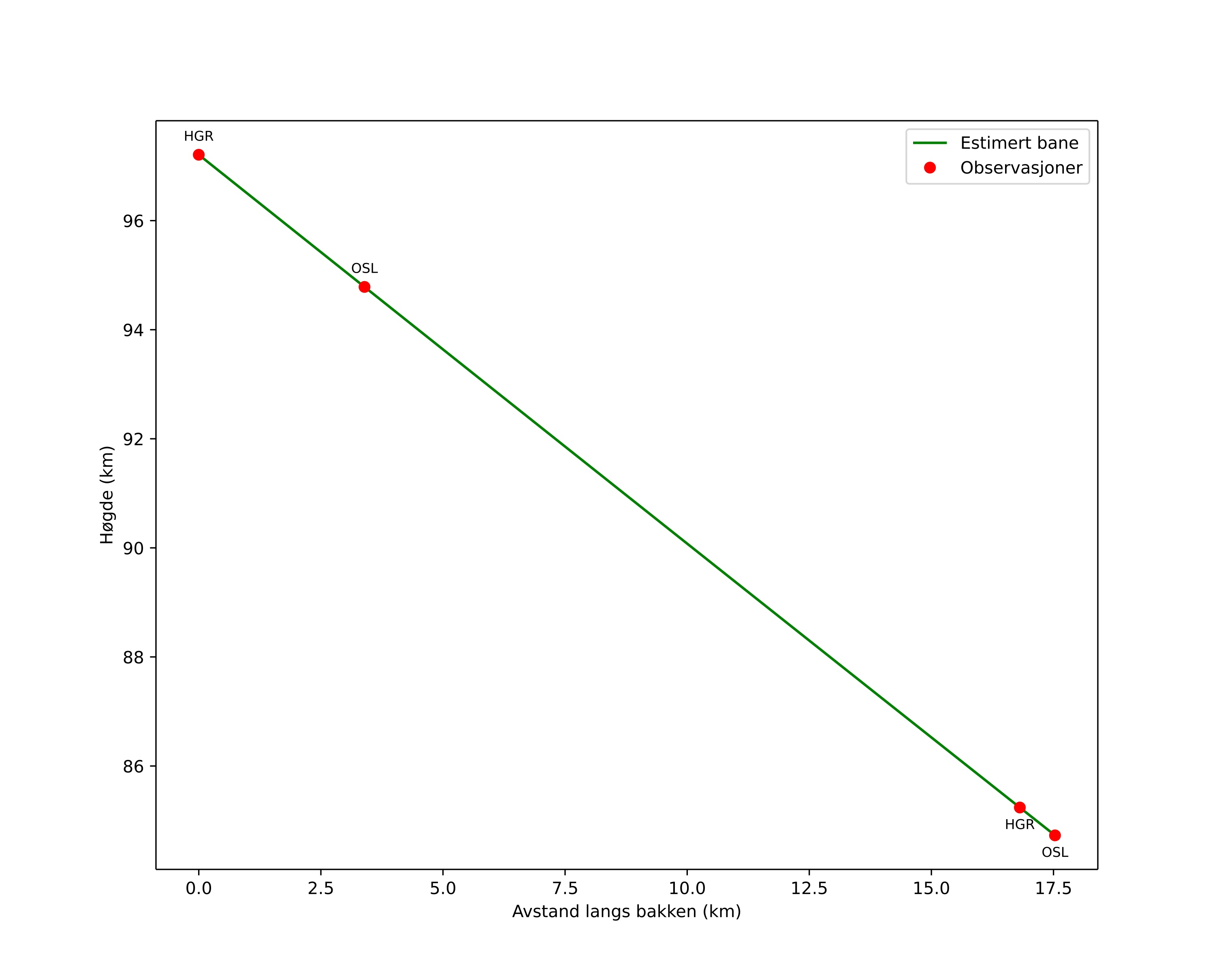
Atmosférická dráha meteoru:
| Počátečnà výška: | 99,0 km |
| Konečná výška: | 86,2 km |
| Počátečnà poloha: | 60,333N 11,781E |
| Konečná poloha: | 60,472N 11,910E |
| Směr: | 24,5° |
| Sklon: | 37,0° |
| VstupnĂ rychlost: | 27,9 km/s |
| Rektascenze radiantu: | 01:53 (28,3°) |
| Deklinace radiantu: | 6,8° |
| MeteorickĂ˝ roj: | JiĹľnĂ Tauridy |
|
Elementy dráhy meteoroidu:
| Vzdálenost v periheliu: | 0,193 AU |
| Excentricita: | 0,796 |
| Sklon dráhy: | 6,7° |
| Délka vzestupného uzlu: | 360,0° |
| Argument perihelia: | 145,3° |
| Střednà anomálie: | 311,2° |
| Epocha: | 2025 SEP 23 02:21:18 |
|