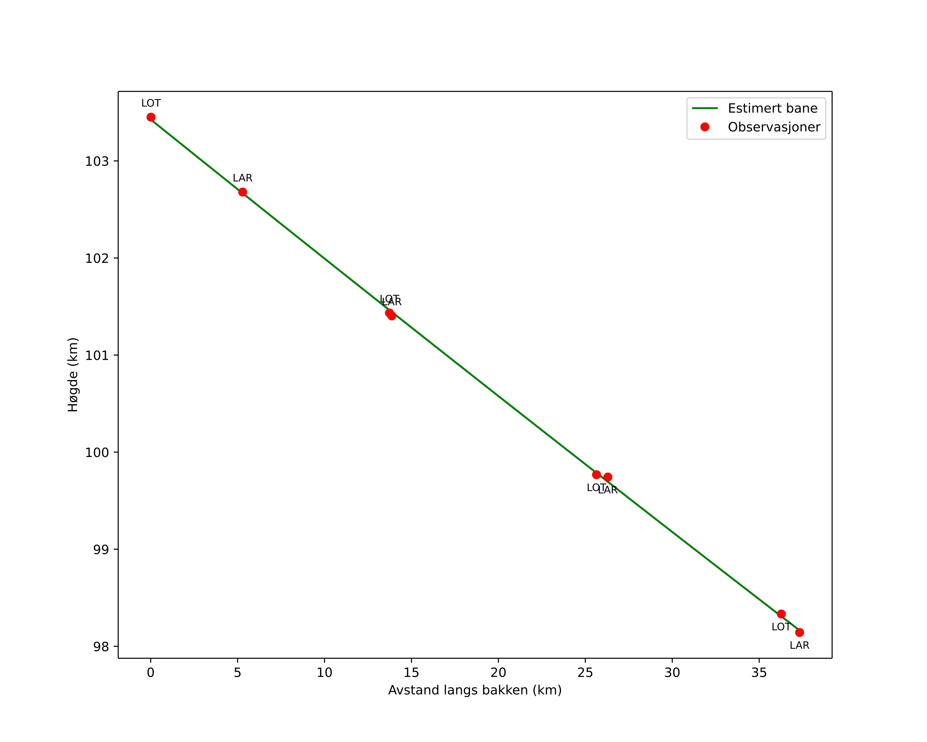
Atmosférická dráha meteoru:
| Počátečnà výška: | 102,9 km |
| Konečná výška: | 98,2 km |
| Počátečnà poloha: | 59,871N 9,643E |
| Konečná poloha: | 60,010N 9,120E |
| Směr: | 298,1° |
| Sklon: | 8,1° |
| VstupnĂ rychlost: | 63,6 km/s |
| Rektascenze radiantu: | 07:19 (109,9°) |
| Deklinace radiantu: | -7,1° |
| MeteorickĂ˝ roj: | sporadickĂ˝ |
|
Elementy dráhy meteoroidu:
| Vzdálenost v periheliu: | 0,761 AU |
| Excentricita: | 0,998 |
| Sklon dráhy: | 124,4° |
| Délka vzestupného uzlu: | 360,0° |
| Argument perihelia: | 301,1° |
| Střednà anomálie: | 0,0° |
| Epocha: | 2025 SEP 23 02:26:49 |
|