🇳🇴 🇬🇧 🇩🇪 🇨🇿 🇫🇮

Meteor over Skoger 2025-09-23 19:25:55 UTC

KML-fil  |  Interaktivt kart

Kartet viser peilingene for meteoren. De lysere linjene viser retningene fra observasjonsstedene for meteorens tilsynekomst, og de mørkere linjene viser hvor den sist kunne sees. Den blå pila viser meteorens synlige ferd.

static map
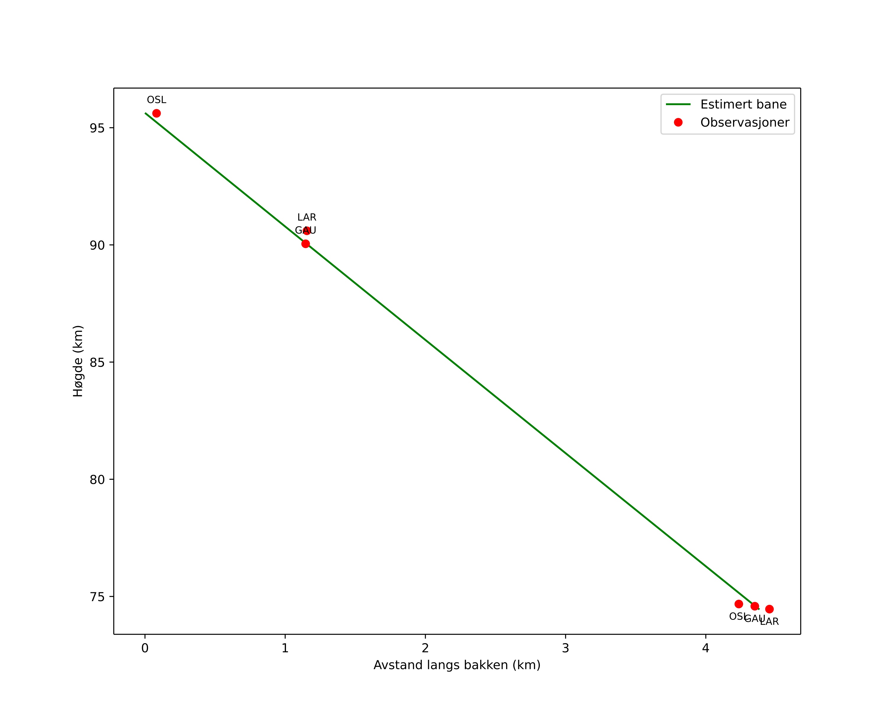
height profile
Meteorens atmosfæriske bane:
Starthøgde: 91,9 km
Slutthøgde: 74,3 km
Startposisjon: 59,764N 10,250E
Sluttposisjon: 59,750N 10,310E
Retning: 114,2°
Fallvinkel: 78,1°
Inngangshastighet: 24,6 km/s
Radiantens rektascensjon: 18:31 (277,8°)
Radiantens deklinasjon: 62,3°
Meteorsverm: sporadisk
Meteoroidens baneelement:
Perihelavstand: 1,000 AU
Eksentrisitet: 0,655
Inklinasjon: 35,0°
Knutelengde: 180,7°
Perihelargument: 187,0°
Midlere anomali: 358,9°
Epoke: 2025 SEP 23 19:25:55
orbit plot

Ikke-interaktivt plott | Interaktivt plott

position vs time
speed and acceleration

Gaustatoppen (GAU) cam2


gnomonic
Videoer
• Gnomonisk
• Gnomonisk med koordinater
• Original
• Original med koordinater
Bilder
• Gnomonisk
• Gnomonisk med koordinater
• Original
• Original med koordinater
Tekstfiler
• Deteksjon
• Observasjon
• Koordinater
• Logg
Lysstyrke

Larvik (LAR) cam6


gnomonic
Videoer
• Gnomonisk
• Gnomonisk med koordinater
• Original
• Original med koordinater
Bilder
• Gnomonisk
• Gnomonisk med koordinater
• Original
• Original med koordinater
Tekstfiler
• Deteksjon
• Observasjon
• Koordinater
• Logg
Lysstyrke

Voksenlia (OSL) cam7


gnomonic
Videoer
• Gnomonisk
• Gnomonisk med koordinater
• Original
• Original med koordinater
Bilder
• Gnomonisk
• Gnomonisk med koordinater
• Original
• Original med koordinater
Tekstfiler
• Deteksjon
• Observasjon
• Koordinater
• Logg
Lysstyrke