🇳🇴 🇬🇧 🇩🇪 🇨🇿 🇫🇮

Meteor over Kolbotn 2025-09-23 19:30:08 UTC

KML-fil  |  Interaktivt kart

Kartet viser peilingene for meteoren. De lysere linjene viser retningene fra observasjonsstedene for meteorens tilsynekomst, og de mørkere linjene viser hvor den sist kunne sees. Den blå pila viser meteorens synlige ferd.

static map
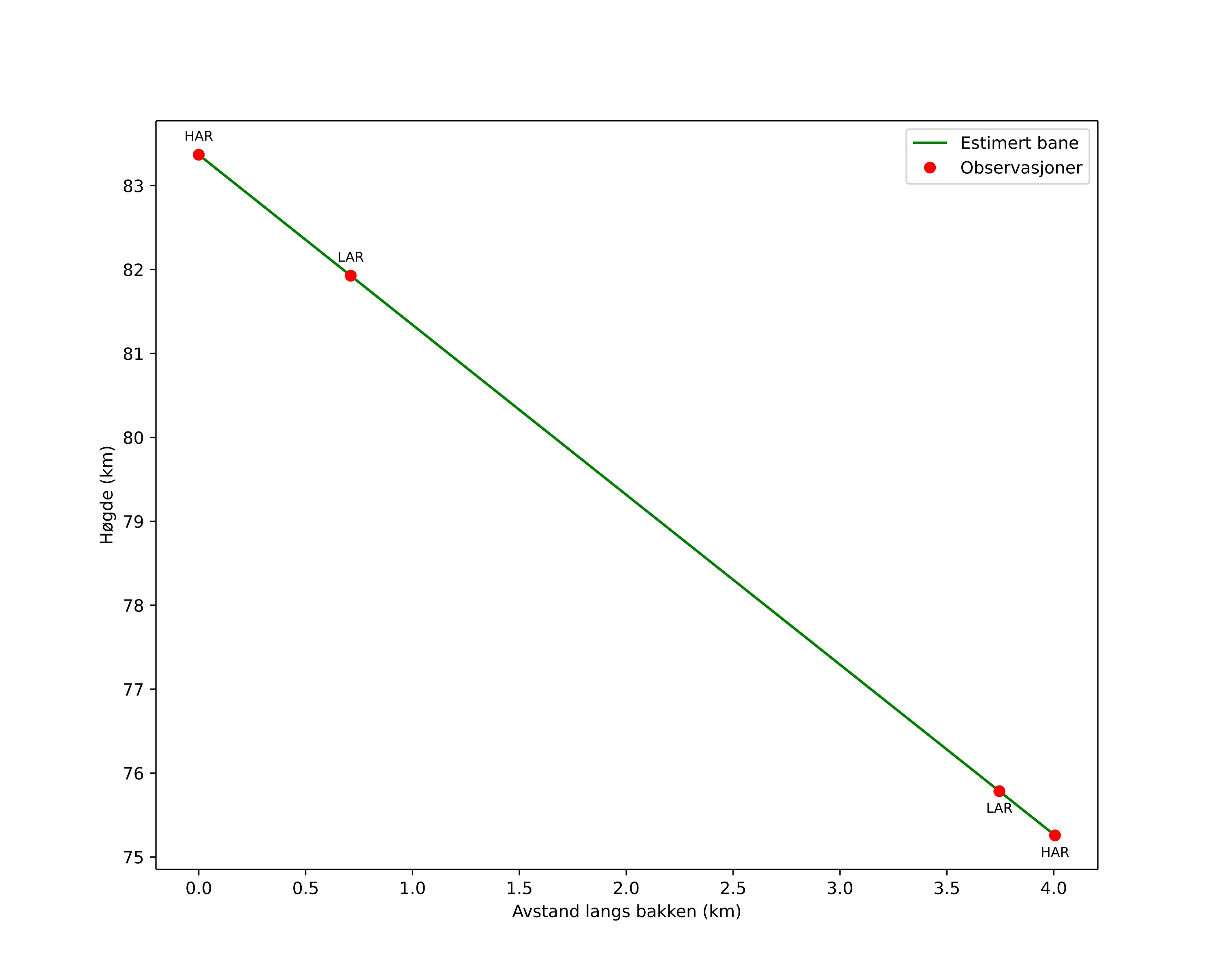
height profile
Meteorens atmosfæriske bane:
Starthøgde: 83,1 km
Slutthøgde: 74,1 km
Startposisjon: 59,810N 10,680E
Sluttposisjon: 59,832N 10,749E
Retning: 58,6°
Fallvinkel: 63,1°
Inngangshastighet: 14,0 km/s
Radiantens rektascensjon: 17:58 (269,5°)
Radiantens deklinasjon: 34,7°
Meteorsverm: sporadisk
Meteoroidens baneelement:
Perihelavstand: 1,003 AU
Eksentrisitet: 0,390
Inklinasjon: 12,1°
Knutelengde: 180,7°
Perihelargument: 182,2°
Midlere anomali: 359,1°
Epoke: 2025 SEP 23 19:30:08
orbit plot

Ikke-interaktivt plott | Interaktivt plott

position vs time
speed and acceleration

Harestua (HAR) cam7


gnomonic
Videoer
• Gnomonisk
• Gnomonisk med koordinater
• Original
• Original med koordinater
Bilder
• Gnomonisk
• Gnomonisk med koordinater
• Original
• Original med koordinater
Tekstfiler
• Deteksjon
• Observasjon
• Koordinater
• Logg
Lysstyrke

Larvik (LAR) cam2


gnomonic
Videoer
• Gnomonisk
• Gnomonisk med koordinater
• Original
• Original med koordinater
Bilder
• Gnomonisk
• Gnomonisk med koordinater
• Original
• Original med koordinater
Tekstfiler
• Deteksjon
• Observasjon
• Koordinater
• Logg
Lysstyrke