Atmosférická dráha meteoru:
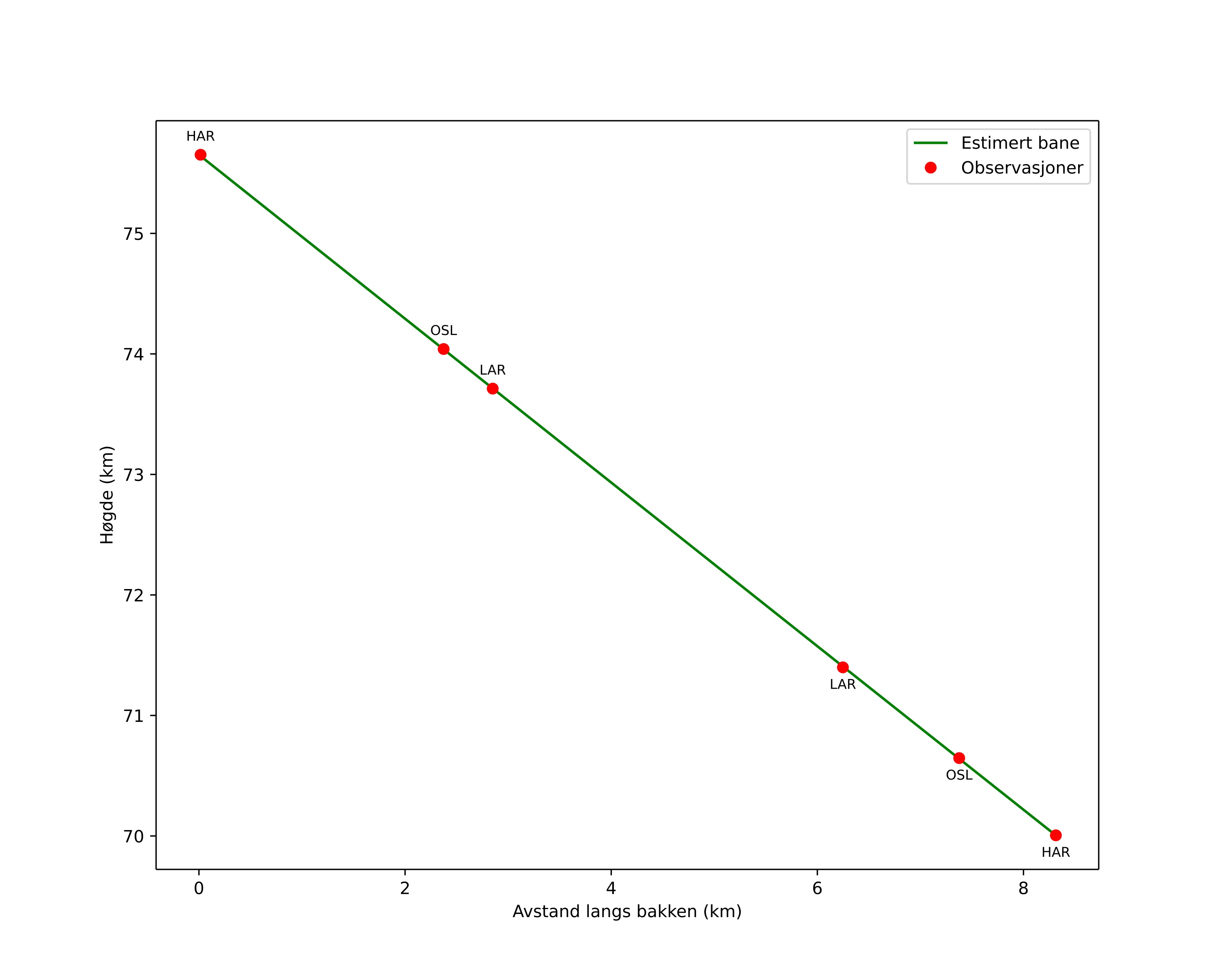
| Počátečnà výška: | 75,5 km |
| Konečná výška: | 69,6 km |
| Počátečnà poloha: | 60,062N 10,758E |
| Konečná poloha: | 60,137N 10,746E |
| Směr: | 355,6° |
| Sklon: | 35,2° |
| VstupnĂ rychlost: | 14,0 km/s |
| Rektascenze radiantu: | 20:59 (315,0°) |
| Deklinace radiantu: | -9,4° |
| MeteorickĂ˝ roj: | sporadickĂ˝ |
|
Elementy dráhy meteoroidu:
| Vzdálenost v periheliu: | 0,958 AU |
| Excentricita: | 0,511 |
| Sklon dráhy: | 1,7° |
| Délka vzestupného uzlu: | 180,7° |
| Argument perihelia: | 209,8° |
| Střednà anomálie: | 351,4° |
| Epocha: | 2025 SEP 23 19:54:51 |
|