🇳🇴 🇬🇧 🇩🇪 🇨🇿 🇫🇮

Meteor over Tanumshede 2025-09-23 20:57:43 UTC

KML-fil  |  Interaktivt kart

Kartet viser peilingene for meteoren. De lysere linjene viser retningene fra observasjonsstedene for meteorens tilsynekomst, og de mørkere linjene viser hvor den sist kunne sees. Den blå pila viser meteorens synlige ferd.

static map
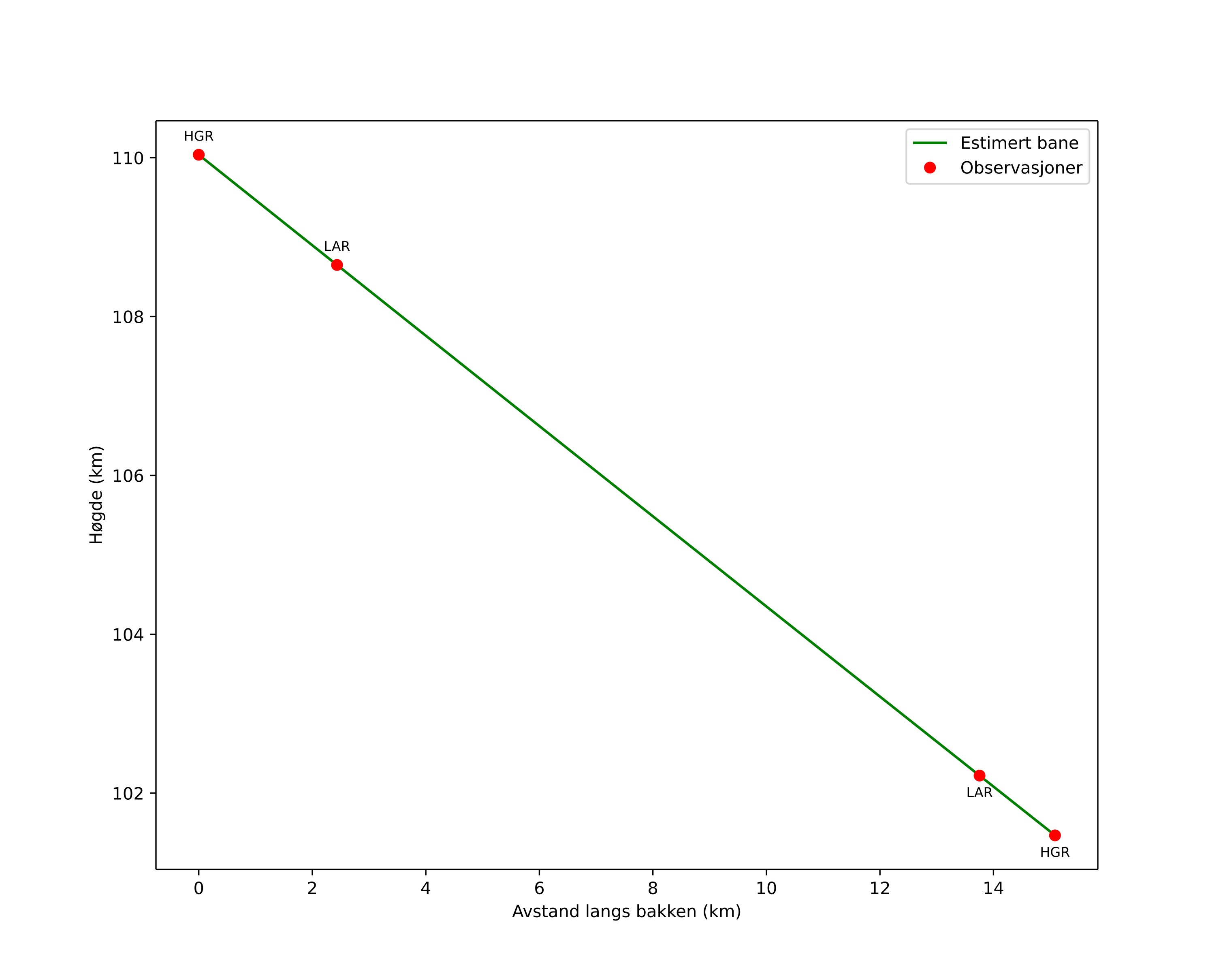
height profile
Meteorens atmosfæriske bane:
Starthøgde: 113,3 km
Slutthøgde: 101,4 km
Startposisjon: 58,925N 11,868E
Sluttposisjon: 58,836N 11,556E
Retning: 241,5°
Fallvinkel: 30,2°
Inngangshastighet: 53,5 km/s
Radiantens rektascensjon: 04:25 (66,3°)
Radiantens deklinasjon: 39,6°
Meteorsverm: sporadisk
Meteoroidens baneelement:
Perihelavstand: 0,387 AU
Eksentrisitet: 0,596
Inklinasjon: 137,1°
Knutelengde: 180,7°
Perihelargument: 310,2°
Midlere anomali: 299,4°
Epoke: 2025 SEP 23 20:57:43
orbit plot

Ikke-interaktivt plott | Interaktivt plott

position vs time
speed and acceleration

Hagar (HGR) cam4


gnomonic
Videoer
• Gnomonisk
• Gnomonisk med koordinater
• Original
• Original med koordinater
Bilder
• Gnomonisk
• Gnomonisk med koordinater
• Original
• Original med koordinater
Tekstfiler
• Deteksjon
• Observasjon
• Koordinater
• Logg
Lysstyrke

Larvik (LAR) cam7


gnomonic
Videoer
• Gnomonisk
• Gnomonisk med koordinater
• Original
• Original med koordinater
Bilder
• Gnomonisk
• Gnomonisk med koordinater
• Original
• Original med koordinater
Tekstfiler
• Deteksjon
• Observasjon
• Koordinater
• Logg
Lysstyrke