🇳🇴 🇬🇧 🇩🇪 🇨🇿 🇫🇮

Meteor over Tranby 2025-09-24 20:15:47 UTC

KML-fil  |  Interaktivt kart

Kartet viser peilingene for meteoren. De lysere linjene viser retningene fra observasjonsstedene for meteorens tilsynekomst, og de mørkere linjene viser hvor den sist kunne sees. Den blå pila viser meteorens synlige ferd.

static map
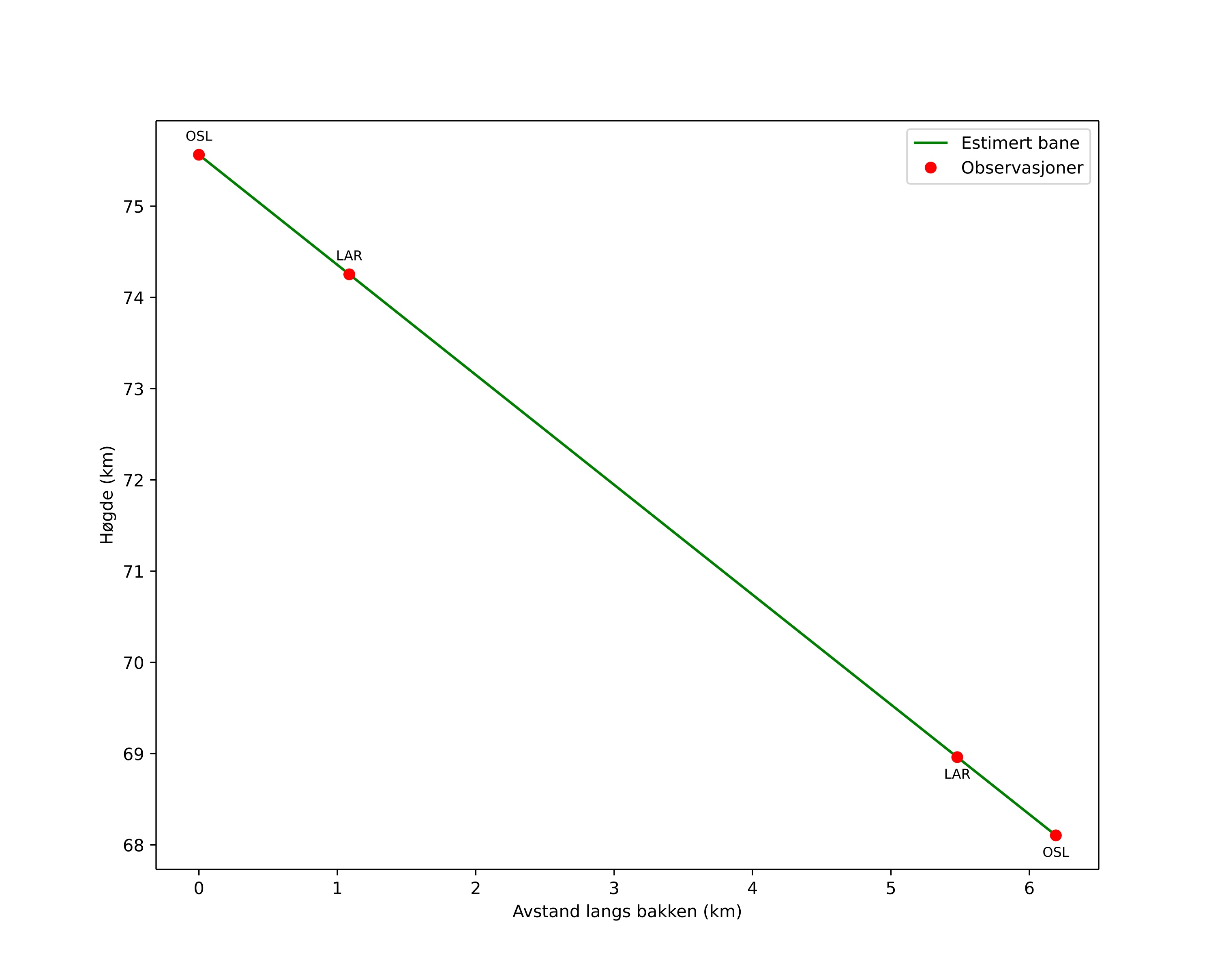
height profile
Meteorens atmosfæriske bane:
Starthøgde: 75,5 km
Slutthøgde: 67,3 km
Startposisjon: 59,868N 10,199E
Sluttposisjon: 59,927N 10,194E
Retning: 357,4°
Fallvinkel: 51,6°
Inngangshastighet: 12,7 km/s
Radiantens rektascensjon: 21:13 (318,3°)
Radiantens deklinasjon: 7,6°
Meteorsverm: sporadisk
Meteoroidens baneelement:
Perihelavstand: 0,957 AU
Eksentrisitet: 0,317
Inklinasjon: 4,1°
Knutelengde: 181,7°
Perihelargument: 216,2°
Midlere anomali: 341,6°
Epoke: 2025 SEP 24 20:15:47
orbit plot

Ikke-interaktivt plott | Interaktivt plott

position vs time
speed and acceleration

Larvik (LAR) cam1


gnomonic
Videoer
• Gnomonisk
• Gnomonisk med koordinater
• Original
• Original med koordinater
Bilder
• Gnomonisk
• Gnomonisk med koordinater
• Original
• Original med koordinater
Tekstfiler
• Deteksjon
• Observasjon
• Koordinater
• Logg
Lysstyrke

Voksenlia (OSL) cam7


gnomonic
Videoer
• Gnomonisk
• Gnomonisk med koordinater
• Original
• Original med koordinater
Bilder
• Gnomonisk
• Gnomonisk med koordinater
• Original
• Original med koordinater
Tekstfiler
• Deteksjon
• Observasjon
• Koordinater
• Logg
Lysstyrke