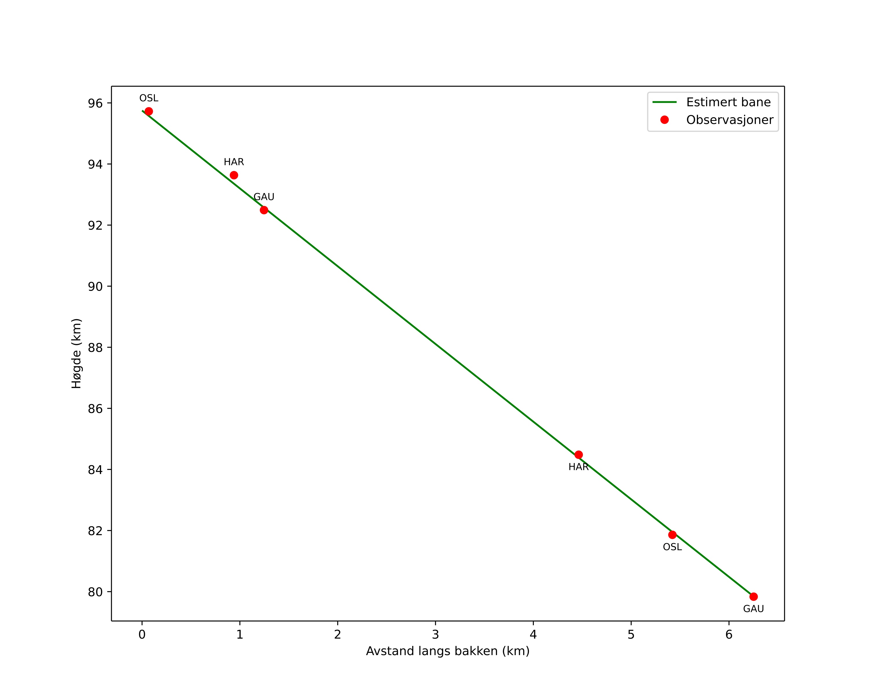
Atmosférická dráha meteoru:
| Počátečnà výška: | 99,7 km |
| Konečná výška: | 80,0 km |
| Počátečnà poloha: | 60,025N 8,390E |
| Konečná poloha: | 59,958N 8,379E |
| Směr: | 184,7° |
| Sklon: | 69,2° |
| VstupnĂ rychlost: | 34,5 km/s |
| Rektascenze radiantu: | 21:46 (326,5°) |
| Deklinace radiantu: | 81,0° |
| MeteorickĂ˝ roj: | sporadickĂ˝ |
|
Elementy dráhy meteoroidu:
| Vzdálenost v periheliu: | 0,976 AU |
| Excentricita: | 0,542 |
| Sklon dráhy: | 57,5° |
| Délka vzestupného uzlu: | 181,7° |
| Argument perihelia: | 202,5° |
| Střednà anomálie: | 354,3° |
| Epocha: | 2025 SEP 24 20:22:26 |
|