🇳🇴 🇬🇧 🇩🇪 🇨🇿 🇫🇮

Meteor over Skreia 2025-09-24 22:37:04 UTC

KML-fil  |  Interaktivt kart

Kartet viser peilingene for meteoren. De lysere linjene viser retningene fra observasjonsstedene for meteorens tilsynekomst, og de mørkere linjene viser hvor den sist kunne sees. Den blå pila viser meteorens synlige ferd.

static map
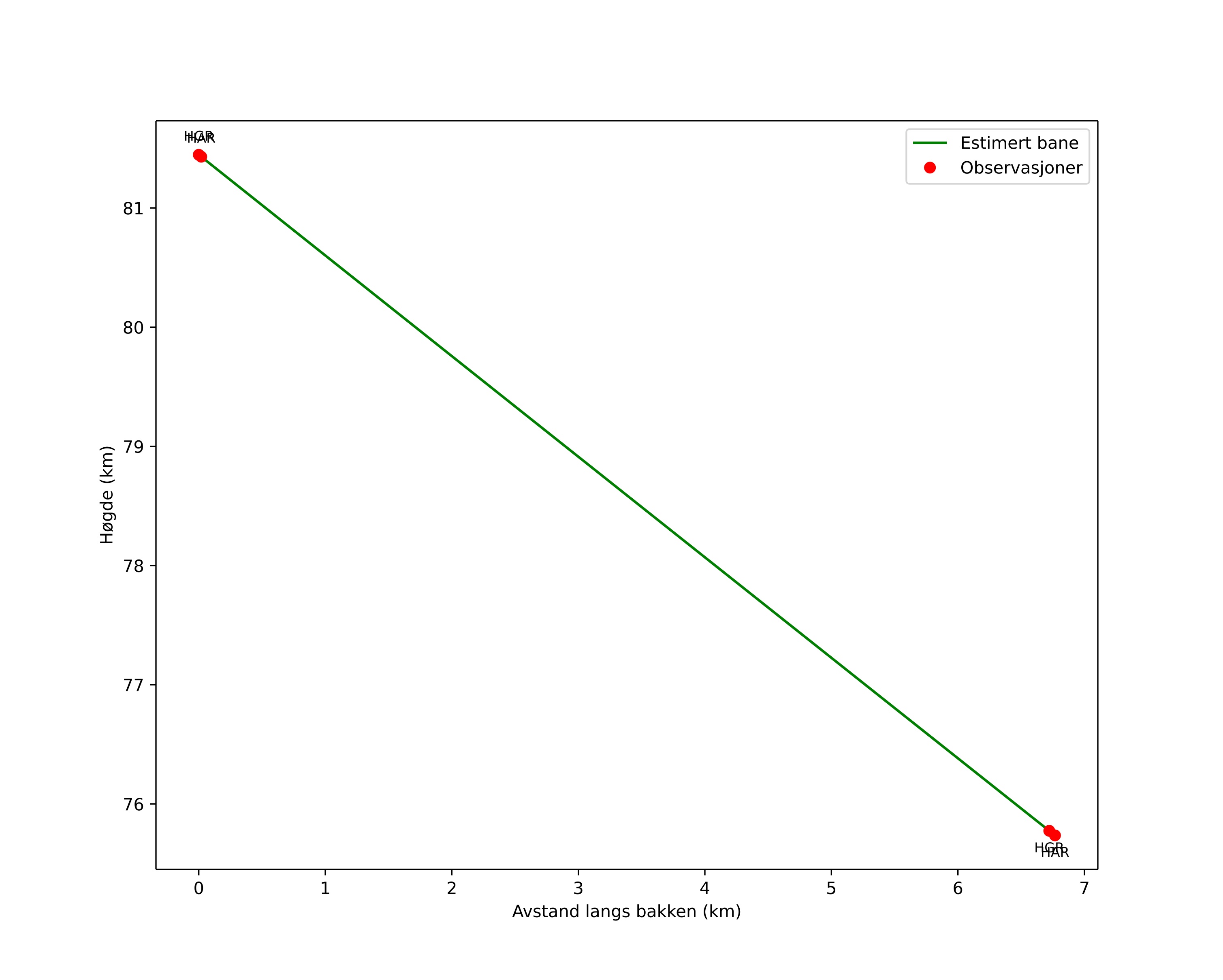
height profile
Meteorens atmosfæriske bane:
Starthøgde: 81,5 km
Slutthøgde: 75,5 km
Startposisjon: 60,568N 10,865E
Sluttposisjon: 60,541N 10,978E
Retning: 116,2°
Fallvinkel: 41,1°
Inngangshastighet: 16,6 km/s
Radiantens rektascensjon: 17:20 (260,2°)
Radiantens deklinasjon: 40,8°
Meteorsverm: sporadisk
Meteoroidens baneelement:
Perihelavstand: 1,001 AU
Eksentrisitet: 0,525
Inklinasjon: 17,7°
Knutelengde: 181,8°
Perihelargument: 174,2°
Midlere anomali: 1,5°
Epoke: 2025 SEP 24 22:37:04
orbit plot

Ikke-interaktivt plott | Interaktivt plott

position vs time
speed and acceleration

Hagar (HGR) cam7


gnomonic
Videoer
• Gnomonisk
• Gnomonisk med koordinater
• Original
• Original med koordinater
Bilder
• Gnomonisk
• Gnomonisk med koordinater
• Original
• Original med koordinater
Tekstfiler
• Deteksjon
• Observasjon
• Koordinater
• Logg
Lysstyrke

Harestua (HAR) cam6


gnomonic
Videoer
• Gnomonisk
• Gnomonisk med koordinater
• Original
• Original med koordinater
Bilder
• Gnomonisk
• Gnomonisk med koordinater
• Original
• Original med koordinater
Tekstfiler
• Deteksjon
• Observasjon
• Koordinater
• Logg
Lysstyrke