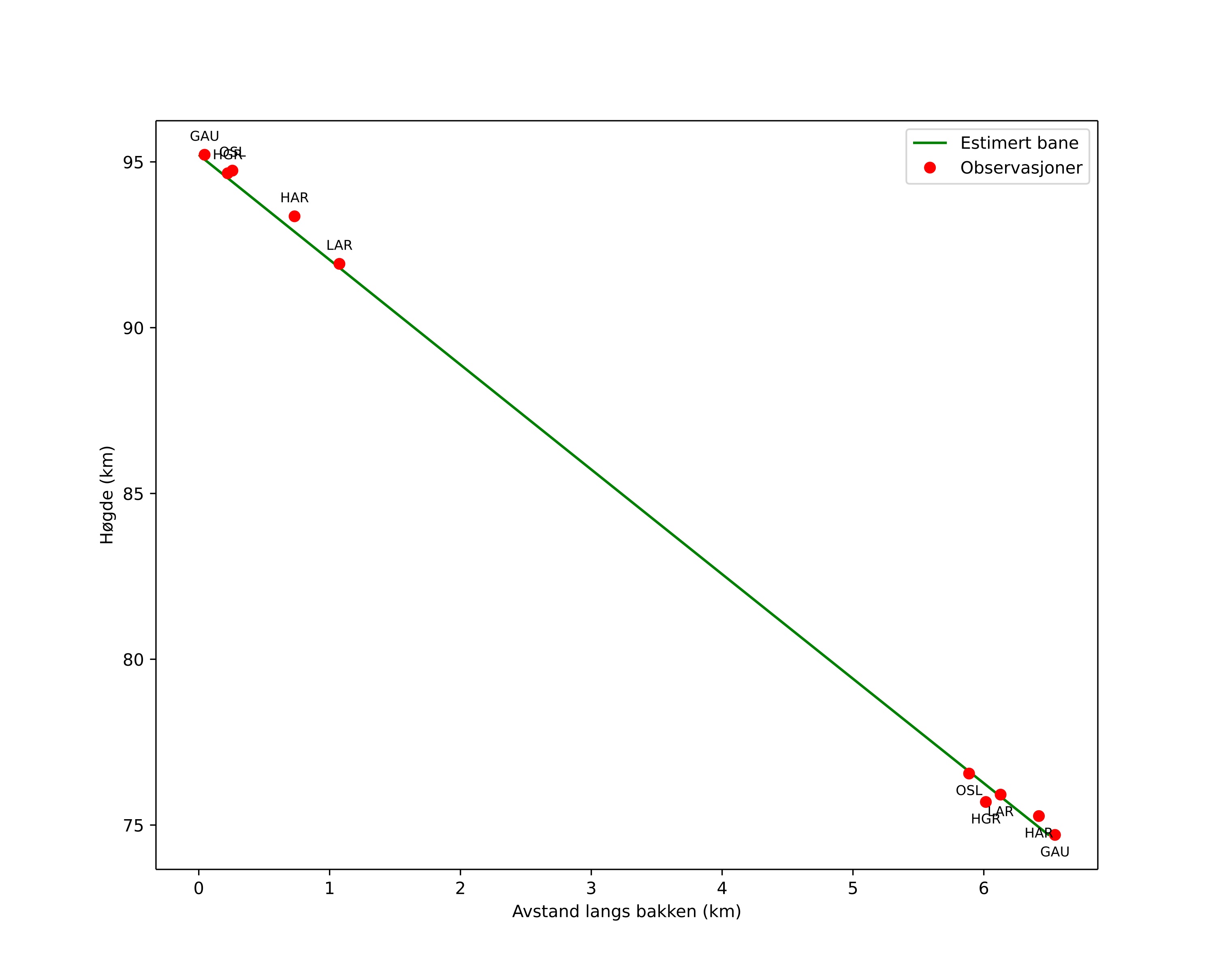
Atmosférická dráha meteoru:
| Počátečnà výška: | 94,7 km |
| Konečná výška: | 73,3 km |
| Počátečnà poloha: | 60,019N 6,275E |
| Konečná poloha: | 60,000N 6,389E |
| Směr: | 107,8° |
| Sklon: | 72,7° |
| VstupnĂ rychlost: | 27,5 km/s |
| Rektascenze radiantu: | 21:13 (318,3°) |
| Deklinace radiantu: | 60,1° |
| MeteorickĂ˝ roj: | sporadickĂ˝ |
|
Elementy dráhy meteoroidu:
| Vzdálenost v periheliu: | 0,923 AU |
| Excentricita: | 0,708 |
| Sklon dráhy: | 38,9° |
| Délka vzestupného uzlu: | 181,8° |
| Argument perihelia: | 216,2° |
| Střednà anomálie: | 355,4° |
| Epocha: | 2025 SEP 24 23:03:13 |
|